手机访问:wap.265xx.com9月21日增2千3!印尼希望增加国际航班鼓励百万中国游客到印尼;示威现场发生骚乱
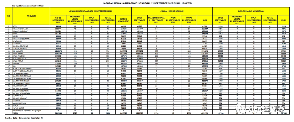
2022年9月21日印尼疫情数据
累计/新增确诊:6,415,328 (+2,384)
累计/新增治愈:6,231,970 (+2,991)
累计/新增死亡:157,948 (+18)
检测人数:70,534,586 (+35,546)
检测样本数:108,151,698 (+70,320
整体阳性率:6.71%
核酸阳性率:15.42%
抗原检测阳性率:1.11%
第一针疫苗:204,388,537 (+27,235)
第二针疫苗:170,997,002 (+26,706)
第三针疫苗: 62,879,386 (+109,238)
第四针疫苗:566,853 (+7,460)
印尼疫情数据总图
旅游
印尼省长:增加航班数量 降低机票价格
巴厘岛旅游局(BTB)主席伊达表示,高昂的机票价格是影响外国游客到巴厘岛旅游,影响旅游业复苏的重要因素之一。
“巴厘省长已向交通部长提交了一份降价的提案,并希望此提案能够获得批准。”伊达9月20日说。
巴厘岛省长考斯特19日表示,他已向交通部长提议增加飞往巴厘岛的航班的数量,以降低机票价格。
巴厘岛省政府的目标是到今年年底游客访问量将达到 200 万人次或300 万人次。
“我们乐观的认为,除了中国游客外,到访印尼的外国游客数量能够达到2百万,如果包含中国游客的话, 那么到年底为止到印尼的游客数量就能够达到3百万人次(平均每天1万人次乘以300个航班)。 ”伊达说。
伊达了解到,昂贵的机票价格造成前来印尼观光的澳大利亚游客减少,这些游客没来印尼而是去了泰国。
伊达希望印尼鹰航能够增加航班次数,以支持巴厘岛旅游的状况将跟泰国旅游业一样能够迅速恢复到正常状况。
国内
印尼各地示威游行 现场发生骚乱
今日,印尼各地继续发生反对燃料价格上涨的示威游行。
成千上万的工人在位于万隆的西爪哇省长办公室前示威。工人群众代表发现无法直接与省长见面后,开始发生骚乱。
示威领头者在指挥车上喊道:“印尼政府做得不好,人民接管是很自然的,我们记得98政府做不好的时候,我们接管了。当这种情况发生时,工人进入省长大楼并非不可能,”
示威群众情绪更加激动,冲上前破坏了办公大楼外的围栏。当地警方在一旁维持秩序,确保人员安全。
今日雅加达市政厅前的示威群众冒雨进行示威游行。
印度尼西亚金属工人工会联合会(FSPMI)和工会联合会(KSPI)围住播放音乐的指挥车,在雨中跳舞。
“我们不要散开,不要躲雨。”指挥车上的男子喊道。
国际
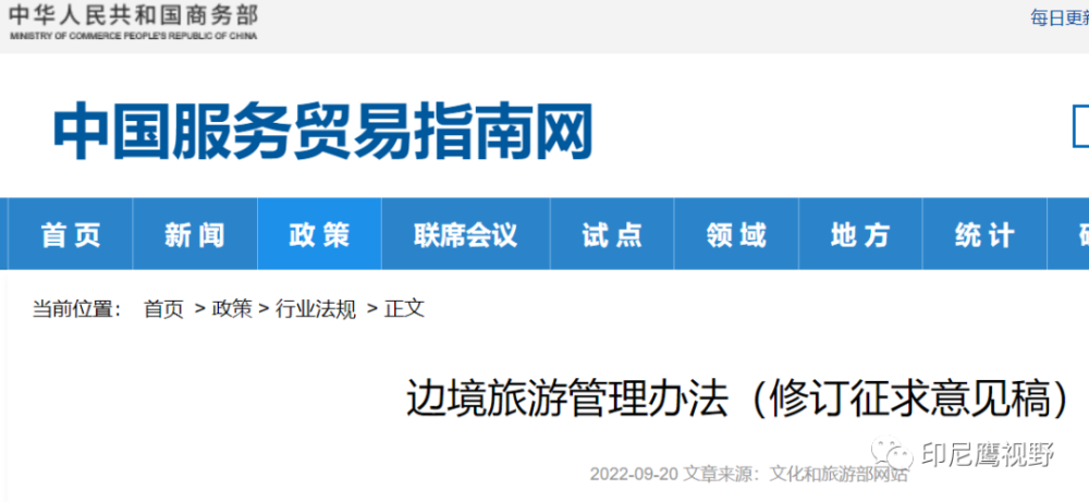
中国公开征求意见修订《边境旅游管理办法》
中国文化和旅游部9月20日发布了《边境旅游管理办法(修订征求意见稿)》,提到“促进边境旅游发展,加强边境旅游管理“,向社会公开征求意见。
意见稿中包括了取消“边境旅游项目审批”和“放宽边境旅游管制”的要求。
网友认为,随着更多外国人或将方便去中国旅游,也将对印尼-中国通航,机票价格下降有积极作用。
截至今日,柬埔寨回国的航班已经降到2千多了,之前曾经一度比印尼回国机票还贵。
生活
印尼人喜欢哪些中国产品?
印尼人喜欢哪些中国产品?点击观看视频
最近更新旅游资讯
- 北京IN10018片II期临床试验-IN10018 或安慰剂联合PLD 治疗铂耐
- 重庆西南医院体检中心
- 价值理论论文范文
- 内娱出现第一个“侠女颜”!刚出道4天,小白花们慌了…
- 狗的射速又快又烫
- 震惊!原来我们那些年追过的电视剧三观如此畸形……
- 社区获得性肺炎合并脓毒症患者临床特征及死亡危险因素分析
- 笛安的“北京爱情故事”,满满的欲望和贪婪
- 读《金瓶梅》第13章:李瓶儿为何能看上西门庆?
- 十六岁高二学生没事时看看什么书好?
- 父母中毒而亡,警方问13岁女儿看到凶手没,女孩笑了:我就是凶手
- 别黑陈凯歌了,他有一部神作还不够吗?
- 高三沉沦观后感话题作文800字范文
- 思辨的张力
- 狐文化特辑【十三】狐妖余论:混迹红尘的修仙之狐——「仙狐」
- 喜欢K歌,看电影吗?这些英文一定要掌握!
- 21世纪最佳20部日本动画
- 中西方伦理思想发展比较研究
- 马鞍山人民医院医院历史
- 如何以「我穿越成了一个小妾(或通房丫头)」为题写一篇小说?
- 青海诗选刊 2017年第24期(总第36期)
- 吴军民
- 实用 | 教你如何做好校园景观!
- 无忧传媒三 片
- 《西游记》新解(十套珍稀古画插图)56:神狂诛草寇,道昧放心猿——遇强盗,唐僧软