手机访问:wap.265xx.com爱因斯坦是如何创立狭义相对论的?
点蓝色字关注“知领”
伽利略变换代表了绝对时空观,牛顿力学的所有定律又可以在伽利略变换下保持数学形式不变,也就是具有伽利略协变性。那是一个礼尚往来,没有战争的美好年代。
然而,麦克斯韦方程组的出现打破了这种平静。因为它不具有伽利略协变性,跟伽利略-牛顿组建的世界玩不到一起去。那么,麦克斯韦方程组是否满足相对性原理呢? 面对这个灵魂拷问,我们回答是也不是,不是也不是,这可把物理学家们急坏了。这些内容我在上一篇文章里都从零做了非常详细的说明,请大家在阅读本文之前务必确保自己先看了公众号的上一篇。否则,由此引发的诸多不适,长尾君概不负责~ 接下来就是大家熟悉的套路了:世界一片混乱,一位携主角光环的少年横空出世,挽狂澜于既倒,扶大厦之将倾。最后世界又重归于和平,全剧终。这里要出场的主人公,就是家喻户晓,如雷贯耳的爱因斯坦。他给出的解决方案,就是大名鼎鼎的狭义相对论。
那么,爱因斯坦究竟是如何平定牛顿和麦克斯韦的战争的?他又是如何回答“麦克斯韦方程组是否满足相对性原理?”这个灵魂拷问的呢? 先不急着要答案,我们先来看看这个问题到底难在哪。 01电磁疑难麦克斯韦提出麦克斯韦方程组以后,就预言光是一种电磁波,并算出了电磁波的速度。然后,奇怪的事情就发生了:麦克斯韦在没有选定任何参考系的情况下,就直接从方程组推出了电磁波的速度等于光速c(具体细节可以参考之前的文章《见证奇迹的时刻:如何从麦克斯韦方程组推出电磁波?》)。 如果你是第一次听这句话,你可能并不了解事情到底怪在哪,那我再解释一下。大家都知道,我们在谈论速度时,一定要先指明参考系。我坐在高铁上没动,那是以火车为参考系;如果以地面为参考系,那我就是以300km/h的速度在飞驰。
所以,单独谈论我的速度是没有任何意义的。你一定要先指明参考系,是在地面还是火车上看,然后才能谈论我的速度。同理,我们在谈论光的速度时,一样也要先指明参考系。那么,从麦克斯韦方程组推出的电磁波速度到底是哪个参考系下的速度呢? 因为电磁波的速度是直接从麦克斯韦方程组推出来的,所以,只要麦克斯韦方程组在某个参考系里成立,我们就可以说电磁波在这个参考系里的速度是光速c。于是,上面的问题就有了一个等价的提法:麦克斯韦方程组到底在哪个参考系下成立? 如果麦克斯韦方程组在所有的惯性系下都成立(即满足相对性原理),那我们就可以说电磁波在所有的惯性系下的速度都是光速c。如果麦克斯韦方程组只在某些特殊的参考系下成立(即不满足相对性原理),那么我们就只能说电磁波只在这些特殊的参考系下的速度是光速c。 于是,我们又进一步把“麦克斯韦方程组到底在哪个参考系下成立?”变成了“麦克斯韦方程组是否满足相对性原理?”。
这个逻辑大家一定要理清楚,不然下面就没法继续了。 不过,认为麦克斯韦方程组满足相对性原理,也就是认为“电磁波在所有惯性系下的速度都是光速c”太过离经叛道,也完全违反我们的直觉。你想想,在所有参考系里速度都一样是个什么概念?假设有位列车员在300km/h的高铁上以5km/h速度朝车头走去,火车上的人会觉得他的速度是5km/h,地面上的人会觉得是300+5=305km/h。他们当然会觉得觉得列车员的速度不一样,而且就差了火车速度的300km/h。如果你非要说一样,那估计有人要建议你去看眼科了。 同样的,如果把列车员换成一束光,我们可能也会觉得火车上和地面上观察到的光速不一样,并且认为它们之间就差了一个300km/h。也就是说,从常识来看,我们并不认为电磁波在所有惯性系里都是光速c。这等于是在说:我们并不认为麦克斯韦方程组在所有的惯性系下都成立,即麦克斯韦方程组不满足相对性原理。 这样的话,电磁波,或者说光就应该只在一个参考系里的速度是c,在其它参考系里的速度就是c加上它们的相对速度。那么,光在哪个参考系里的速度是c呢?火车系?地球系?太阳系?都没道理!
答案我们也知道:以太系。 也就是说,我们认为光只有在以太系的速度才是c。只有在以太系里才可以用麦克斯韦方程组推出电磁波的速度等于光速c,在其它参考系里麦克斯韦方程组是不成立的。那么,以太是什么?为什么我们要选择以太系呢? 02以太时间先回到200年前。19世纪初,在托马斯·杨和菲涅尔等人的努力下,光的波动说逐渐被人们接受。随之而来的一个问题就是:既然光是一种波,那光的介质是什么? 水波是一种波,它的介质是水;声波也是一种波,它在空气中传播时,介质就是空气。这些波之所以能传到远处,就是因为相邻介质点之间有力的作用,大家一个“推”一个,把波传了出去。
既然光也是一种波,我们自然会觉得光波也应该和水波、声波一样,是依靠相邻介质点的相互作用传播到远处的。那么,光的介质是什么呢?光可以穿过遥远的星空来到地球,那么这种介质也应该遍布宇宙。我们给它取个名字,就叫以太。以太似乎看不见摸不着,就像空气一样。但是,大家都知道,如果我们相对空气运动,就能感觉到风。同理,如果我们相对以太运动,按理说也能感受到“以太风”,这就是很多实验寻找以太的思路。 如果光的介质是遍布宇宙的以太,我们自然就会觉得光的速度是相对以太而言的,就像水波的速度是相对水面那样。这样导致的直接后果就是:我们必须假定麦克斯韦方程组只有在以太系中才成立。因为只有这样,我们才能只在以太系里推出光的速度是c,才能说光的速度是相对以太而言的,才不跟上面矛盾。 从这里大家也能感觉到:当我们在谈论光和以太的时候,我们其实是把牛顿力学的那一套搬了过来。我们希望用以太的力学性质来解释光波,就像我们用空气和水的振动来解释声波和水波那样。牛顿力学大获成功以后,不仅牛顿被封了神,力学也同样获得了至高无上的地位。于是,科学家们开始形成了这样的一种观念:力学是成功的,完美的,至高无上的,其他领域的东西只有最终在力学这里得到了解释,才能算是科学。我们要利用力学的世界观和方法论去解决其他领域的各种东西。 这种观念,我们称之为力学的自然观,或者机械的自然观(在英文里,力学的和机械的是同义词,都是mechanical)。
在力学自然观的大背景下,大家试图用以太这种力学模型来解释光,解释电磁波就是非常自然,而且非常合理的一件事了。只是大家后来发现这样做有许多困难,才开始逐渐放弃用力学去解释电磁学,转而认为电磁理论也是跟力学一样基本的东西。 也有走得更极端的,他们试图反过来用电磁理论去解释力学,也就是把电磁理论看成更基本的东西。这种观念叫电磁自然观,此乃后话。 总之,相信大家了解了这些以后,就不会对以太的出现感到突兀了,甚至会觉得非常自然。因为无论是从波动说,还是从力学自然观的角度,认为光的传播需要一种介质都是理所当然的事情。而以太,只不过是它的名字而已。 有了“光是借助以太这种介质来传播”的观念以后,我们就可以根据光的传播情况来反推以太的一些性质。比如,光能从遥远的星系穿过太空来到地球,那太空中就应该充满了以太;光在以太中衰减很少,天体可以毫无阻力地穿过它,那以太就应该非常稀薄;因为光是横波,那这肯定又对以太有某种限制…… 当然,只有这些肯定是不够的,于是人们就设计了各种以太相关的实验(绝非只有迈克尔逊-莫雷实验一个),以求进一步了解以太。爱因斯坦在大学期间也设计了相关实验,不过因为没有得到学校的支持而作罢。 这篇文章的主题是狭义相对论的诞生,我不可能把所有的以太实验都列出来,那够写一本书了。这里只介绍几个跟爱因斯坦创立狭义相对论关系比较大的实验。 03光行差第一个重要的实验叫光行差。 光行差的原理很简单,大家在下雨的时候都有这样的经验:如果我站在雨地里不动,就会感觉雨滴是从头顶正上方落下来的(无风条件);如果往前跑,就会感觉雨滴是从前方倾斜地落到身上的,这其实就是一种“雨行差”。
而且,不难想象,跑得越快,就会觉得雨滴倾斜得越厉害。雨速一定时,我奔跑的速度和雨滴的倾斜角之间,肯定有某种关系。类似的,遥远的星光(可近似看作平行光)到达地球时,如果地球不动,我只要把望远镜对着星星的方向就能看到这颗星星了。但是,如果地球在运动(以大约30km/s的速度围着太阳公转),跟雨中奔跑时觉得雨滴倾斜了类似,我们也会觉得恒星发出的光线也倾斜了一定角度,这就是光行差。
为了寻找光行差,英国天文学家布拉德雷从1725年到1726年进行了持续的观测,发现地球的公转会产生大约20.5角秒(1度=60角分=3600角秒)的倾斜角。然后,通过简单的三角计算,布拉德雷就得出光速大约是30万km/s,这是早期比较准确的光速值了。具体的实验和计算细节我这里就不说了,但是下面三个事情,大家一定要清楚: 第一,根据波动说,光在以太中传播。我们能观测到光行差,就说明地球和以太之间一定有相对运动。 为什么呢?你想啊,正是因为地球和以太之间存在相对运动,你才能感受到来自前方的以太风。布拉德雷之所以能观测到光行差的倾斜角,就是这种以太风把光线“吹弯了”。如果地球和以太相对静止,没有以太风,那头顶正上方的光线就会像无风时的雨滴一样垂直下落,这样肯定就看不到光行差了。 第二,不难想象(通过简单的三角关系),光行差的这个倾斜角是跟地球速度v和光速c的比值v/c直接相关的。也就是说,这个实验只能精确到v/c一阶量级(只出现v和c的一次方),并没有出现v2/c2二阶量或者更高次项。 第三,因为光行差实验只能精确到v/c一阶,所以,我们虽然能猜测地球和以太之间有相对运动,但并不能精确地测出这个速度到底是多少。具体原因我们后面会谈。 好,知道光行差要求地球和以太之间有相对运动,并且它只精确到v/c一阶,无法测出这个相对运动的具体速度,第一个实验就可以翻篇了。 04阿拉果的实验光行差是个纯粹的天文观测,它只涉及以太在真空(空气)中的情况,信息量有限。法国天文学家阿拉果加了一块玻璃,希望利用光在不同介质中的折射来获取更多的信息。阿拉果这个实验的原理有点绕,大家要仔细理一理(理不清关系也不大,知道最后的结论就行了)。你想啊,如果地面上有一块玻璃,那以太自然也会从玻璃中流过。那么,如果有一束光从空气射入玻璃,你觉得会发生什么? 光在以太中运动,以太在玻璃中流动,那么,光在玻璃中的速度就应该是这两个速度的叠加。而速度又是一个矢量,不仅有大小,还有方向,所以光在玻璃中的速度就还跟这两个速度的夹角有关。 这就好比往河里仍一个皮球,如果顺着河水仍,皮球的速度是最大的;垂直河水仍,皮球的速度会稍微小一点;逆着河水仍,皮球的速度就是最小的。 很明显,即便我仍皮球的速度大小一样,但只要方向不同,最终皮球的速度还是会不一样。同理,光从不同方向射入流着以太的玻璃,最后的速度也应该不一样。 于是,阿拉果就转动望远镜,让光线从不同角度进入玻璃。试图通过改变光在玻璃中的速度,进而改变光在玻璃中的折射率,然后通过折射定律观察到这种变化。考虑到有些中小学生还不知道折射率和折射定律,我这里非常简单的说一下。光从一种介质进入另一种介质时会发生折射。如下图,小鱼身上的光线其实是走折线进入我们的眼睛的,你顺着视线的方向是抓不到鱼的,这就是一个典型的折射现象。水杯中的筷子好像折断了,也是因为光从水进入空气时发生了折射。
折射的程度跟这两种介质的折射率有关,而介质的折射率,就是光在真空中的速度与介质中速度的比值。比如,水的折射率是1.33,就是说光在真空中的速度是水中速度的1.33倍。一般我们认为光在空气中的速度就等于真空光速,也就是近似认为空气的折射率等于1。 光线发生折射时,它的入射角α1和折射角α2的正弦值与这两种介质的折射率n1、n2之间有一个简单的比例关系,这就是大名鼎鼎的折射定律:n1sinθ1=n2sinθ2。
于是,当光线从不同方向射入玻璃时,光在玻璃中的速度和折射率都会发生变化,入射角和折射角之间的关系也会发生改变,而这是可以直接观察到的。 但实验结果却让阿拉果大为迷惑,因为他发现无论光从哪个方向进来,他都观察不到玻璃的折射率有任何变化。也就是说,我们改变入射光的方向时,光在玻璃中的速度好像并没有改变,这跟说好的不一样啊! 为什么?阿拉果百思不得其解,于是,他选择求助场外观众。他于1818年给波动说大佬菲涅尔打了个电话,不,是写了封信。 05部分曳引假说大佬就是大佬,菲涅尔收到阿拉果的来信之后,很快就想到了一个解决办法。菲涅尔想,不同方向的光线进入玻璃后的速度应该是不一样的,既然我们现在观测不到这种不一样,那就肯定是还有某种机制把它抵消了。 于是,菲涅尔就提出了一种假说,他说为什么我们观测不到这种不一样呢?是因为玻璃在以太中运动的时候,它无法做到“以太丛中过,片叶不沾身”。它要拖着部分以太跟它一起运动,然后被拖曳的这部分以太刚好就跟上面那个效应抵消了,于是我们就观测不到任何不一样了。那么,玻璃能拖动多少以太呢?菲涅尔说这个比例跟介质的折射率有关。你的折射率越大,拖曳的以太就越多,折射率越小,拖曳的以太就越少,具体的曳引系数是1-1/n2(n是介质的折射率)。这就是菲涅尔的部分曳引假说,似乎很有道理的样子。
利用部分曳引假说,菲涅尔很好地解释了阿拉果的实验。因为地面的空气并不会拖曳以太(折射率约为1,曳引系数等于0),地球本身又是极为多孔的物质,以太可以畅通无阻地流过。所以,地球和以太之间还是有相对运动,这跟光行差也不矛盾,完美! 不过,菲涅尔的部分曳引假说一开始并未受到人们的重视。1851年,斐索做了一个著名的流水实验,实验结果跟部分曳引假说的预言极为接近。于是,人们对菲涅尔的假说信心大增。 06斐索流水实验流水实验的原理非常简单,菲涅尔不是说透明介质会部分拖曳以太么?那么,我让一束光顺着水流的方向走,另一束光逆着水流的方向走,它们走完水管的时间就应该不一样。 当然,光速这么快,想直接测量顺水和逆水的时间差是不可能的,斐索就巧妙地利用了光的干涉。因为光是一种波,把两束一样的光叠加在一起,那肯定是波峰与波峰叠加,波谷与波谷叠加。现在它们经过水管的时间不一样,再次相遇时波峰和波谷肯定就对不上了,这样它们的干涉图案就会发生变化。
具体细节我就不说了,大家只要知道实验结果跟菲涅尔理论计算的结果极为接近就行了。如果大家感兴趣,我后面可以在公众号里单独写文章谈谈这个实验。 总之,斐索流水实验在很高的精度内证明了部分曳引假说的有效性。后来,霍克又用更严密的实验做了进一步验证。一时间,菲涅尔的理论风头无二。 07一阶光学实验此外,菲涅尔还从部分曳引假说证明了一个更强的结论:像光行差和阿拉果这种只精确到v/c一阶的实验,无论你怎么做,光学现象都不会受到地球相对以太运动的影响。 什么意思?我们知道,菲涅尔提出部分曳引假说,就是为了解释阿拉果的实验。阿拉果认为如果地球相对以太有运动,我们就可以通过改变入射光的方向改变光在玻璃中的速度,进而改变玻璃的折射率。 但是我们没有发现折射率有任何变化,这就意味着这个实验没能观测到地球相对以太的运动。 为什么观测不到?有两种解释:第一,它们之间真的没有相对运动;第二,它们之间有相对运动,但是因为某种原因我们观测不到。 菲涅尔选的是第二种。在部分曳引假说里,以太是静止的,地球相对以太肯定有运动,这样才能解释光行差。在阿拉果的实验里,因为以太被玻璃部分拖曳,这个效果刚好和地球相对以太运动的效应抵消,所以我们就观测不到折射率的变化了。 这就好比在跑步机上跑步,你觉得自己在往前跑,但别人觉得你没动。你向前奔跑的速度刚好和跑步机拖曳的速度抵消了,所以别人就观测不到这种相对运动带来的变化了。
然后,菲涅尔进一步说,不仅阿拉果的实验观测不到地球相对以太的运动,任何v/c一阶实验(实验结果只跟地球速度v与光速c的比值v/c相关)都观测不到地球相对以太的运动,这是部分曳引假说的一个必然结果。 那么,菲涅尔的预言到底对不对呢?随着时间的推移,大家对这个事情的关注度也越来越高。1873年,巴黎科学院举办了一场名为“光源和观察者的运动对光的传播方式和性质所产生的变化”的大奖赛,最后马斯卡特赢得了大奖。 马斯卡特做了各种各样的一阶光学实验(比如光的反射、折射、衍射等),也重做了一些之前的实验。结果是,他没有观察到地球相对以太的运动给这些实验带来了任何影响。 总之,最起码到了19世纪70年代,人们已经达成了一项共识:精确到v/c一阶的光学实验不会受到地球相对以太运动的影响。 爱因斯坦在狭义相对论论文的第二段也专门提到了这个事,大家一定要注意一阶这个定语。 08一阶相对性原理好,到这里,光行差、阿拉果、斐索流水三个跟以太相关的一阶实验就讲完了。为什么要挑这三个实验呢? 因为爱因斯坦在1950年与香克兰教授谈话时,说对他影响最大的实验就是光行差和斐索流水实验,并且强调“它们已经足够了”。我这里加一个阿拉果的实验,主要就是为了自然地引出菲涅尔的部分曳引假说。 那么,从这几个早期的以太实验里我们能知道些什么呢?爱因斯坦又知道了什么,为什么他说这些就够了?
从上面的分析,以及我的多次强调,相信大家已经知道这几个实验都是一阶光学实验,并且菲涅尔的理论能很好地解释它们了。然后,不管是从部分曳引假说还是从实验出发,精确到v/c一阶的光学实验不会受到地球相对以太运动的影响,知道这些就够了。 大家再来想一想,“一阶光学实验不会受到地球相对以太运动的影响”是什么意思?这句话你再多看几遍,你品,你细品。 不会受到地球相对以太运动的影响,就是说地球相对以太静止也好,运动也罢,我们的一阶光学实验该咋做还咋做。不论你处在与以太相对静止的参考系,还是处在相对以太匀速运动的参考系,一阶光学实验完全感知不到,无法区分。 这就是说,我们无法通过一阶光学实验区分一个参考系是相对以太静止,还是相对以太做匀速直线运动。换成了这种句式,相信起码看了上一篇文章的人立马就能明白是什么意思了。 对,它意味着:一阶光学实验满足相对性原理! 绕了一大圈,我们终于又绕回到问题的核心,也就是电磁现象是否满足相对性原理来了。而这些实验则明明确确地告诉爱因斯坦:最起码在v/c一阶精度下,电磁现象是满足相对性原理的,这个我们可以打包票。至于在v2/c2二阶甚至更高阶的精度下,电磁现象是否还满足相对性原理,这个现在不敢说。 而爱因斯坦说光行差和斐索流水就够了,意思是你们这些以太实验能给到一阶精度的支持就足够了,就已经圆满完成了本次任务。我还有另外三路大军,原本也没怎么指望你们这一路。 上一篇文章已经讲了,爱因斯坦主要是从协调牛顿力学和麦克斯韦电磁理论的角度来创立狭义相对论的。而它们的核心矛盾就出在相对性原理上:牛顿力学配合伽利略变换,非常完美地满足了相对性原理;麦克斯韦电磁理论不具有伽利略协变性,那它还满足相对性原理么?
大家要记住这才是我们的核心问题,我这两篇文章的所有内容都是围着它转的。所以,我们从以太实验又绕回到了相对性原理这里,这是非常自然而且必须的。 09迈克尔逊-莫雷实验好,爱因斯坦还有其它三路大军,他觉得以太实验能给到一阶精度的支持就足够了。但其他物理学家没这么壕啊,很多人别说另外三路,另外一路都没有,就指着以太实验吃饭呢。所以,对他们来说,一阶精度上的支持是远远不够的。那怎么办呢?一阶精度不够,那就去做二阶精度的实验呗,反正闲着也是闲着,催一催实验物理学家也不碍事。
但是二阶实验难做啊!你想想为什么大家做了这么多一阶光学实验,却没有人去做二阶光学实验?你以为是实验物理学家没收到催更么? 主要还是太难了,为什么难我给你分析一下。 要精确到v2/c2二阶,地球公转速度v(30km/s)大约是光速c(30万km/s)的万分之一,再平方一下,v2/c2就是亿分之一。也就是说,如果你想做一个精确到v2/c二阶的光学实验,你的实验精度得高达亿分之一才行。这在当时非常困难的。麦克斯韦在1879年3月19日(此时爱因斯坦已出生5天)给美国航海历书局的托德写信时都还认为这个精度的效应在地面上是无法被探测到的。 然而,天才实验物理学家迈克尔逊认为麦克斯韦低估了地面实验所能达到的精度。于是,他在1881年做了一次实验,在1887年又跟莫雷做了一次说服力更强的实验,这就是大名鼎鼎的迈克尔逊-莫雷实验。然后,迈克尔逊就捧走了1907年的诺贝尔物理学奖,这也是美国人第一次获得诺贝尔物理学奖。
有些人可能有疑问:你不是说爱因斯坦有光行差和斐索流水实验就够了么,那为什么还要讲迈克尔逊-莫雷实验? 这个原因嘛,虽说爱因斯坦有那些一阶光学实验就够了,迈克尔逊-莫雷实验对他创立狭义相对论并没有什么直接的影响。但是,这个实验对其他物理学家影响非常大啊,比如洛伦兹。 洛伦兹为了给迈克尔逊-莫雷实验一个合理的解释,苦思冥想,埋头苦干,最终在1895年(注意这个时间)发表了一篇名为《关于动体电现象和光现象的理论研究》,长达137页的专题论文。他在这篇论文里引入了长度收缩假设、地方时的概念,证明了对应态定理,从而解释了迈克尔逊-莫雷实验。 而洛伦兹对电动力学的研究,特别是1895年的这篇论文,对爱因斯坦创立狭义相对论有很大的影响。所以说,迈克尔逊-莫雷实验虽然对爱因斯坦没有什么直接的影响,但却有这种间接的影响。
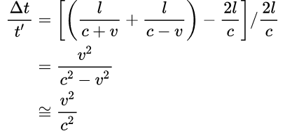
所以,我们想要搞明白洛伦兹是如何影响爱因斯坦的,就得先搞清楚迈克尔逊-莫雷实验是怎么回事。而且,许多人对这个实验,对它与狭义相对论的关系都存在非常大的误解,这里澄清一下也好。 另外,我前面说了那么多一阶光学实验,难道你们就不想看看二阶光学实验是什么样的?迈克尔逊-莫雷实验就是一个设计得极为漂亮的二阶光学实验。 10为什么是二阶?这里我稍微解释下为什么迈克尔逊-莫雷实验是二阶的。 部分曳引假说认为以太可以被透明介质部分拖曳,在真空这种没有介质的地方就应该是静止的。那么,地球在静止以太中穿梭,我们要如何测量这个速度呢? 想法很简单:如果地球在以太中穿梭,我们就应该能感觉到以太风。我往有风的地方发射一束光,没风的方向发射一束光,对比一下就能知道风速了,也就是地球相对以太的运动速度。 假设以太相对地球以速度v向右运动,我向右发射一束光,光速就是c+v;反射回来向左运动时,速度就变成了c-v。 与此同时,如果在没有以太风的地方发射一束光,它的速度就一直都是c。 整个过程就像在河里做往返划船比赛:一组先顺流而下,再逆流而上,另一组在平静的河面上往返,看哪一组更快。这里河水就像是以太,在水面运动的船就好比在以太中运动的光。 我们假设单程距离为l,那么光顺着以太运动的时间为l/c+v,逆着以太运动的时间为l/c-v,总时间t=(l/c+v)+ (l/c-v)。 在没有以太风的地方,光往返的速度都是c,总距离为2l,所以总时间t’=2l/c。 这两种情况的时间差我们记为Δt=t-t’,它占整个传播时间的比值就可以这样算:
可以看到,当地球的公转速度v远小于光速c时,这个比值就近似等于v2/c2。所以,这是一个不折不扣的v2/c2二阶光学实验。 这个思路非常简单,它难就难在如何探测这么微小的差别,迈克尔逊厉害就厉害在发明了一种精度如此之高的干涉仪。 迈克尔逊-莫雷实验的原理跟它基本相同,唯一的区别就是我们找不到没有以太风的地方。所以,迈克尔逊和莫雷让一束光与以太风平行,另一束跟它垂直,垂直的这束光要考虑与以太风速度的叠加。
他们这样做了一次,把仪器旋转90度之后又做了一次。按理来说,旋转之后平行和垂直互换,光线运动的时间也会改变,这样产生的干涉条纹肯定也跟原来的不一样。 但实验结果又让人大跌眼镜:旋转90度以后,干涉条纹没有发生任何变化。就像压根就没有以太风,平行和垂直没有任何区别似的。 也就是说,我们认为光在平行和垂直以太风方向上的运动时间应该不一样,而且还算出了这个时间差大约占总时间的亿分之一。但是,迈克尔逊-莫雷实验告诉你:没有的事,不管光朝哪个方向跑,它们的传播时间好像都一样。根本就没有什么以太风,顺风、逆风、垂直风都是没边的事!科学家们一下子就懵了。 11实验的结论在这里,我希望大家忘掉一切关于迈克尔逊-莫雷实验和以太的先入为主的观念,忘掉你在书里、文章里或在其它任何渠道看到的结论。我们就站在这个历史节点,面对这样一个实验结果,你觉得我们可以作出哪些合理的判断? 首先,我们能从这个实验结果得出“以太不存在”这么大的一个结论么?不能!因为完全没道理啊。 你想,我们现在是在验证部分曳引假说在真空中的情况。菲涅尔认为以太在真空中是静止的,所以,我们在静止以太中穿梭时会感觉到以太风,然后才有顺以太、逆以太、静止以太在运动时间上的不同。 然后,迈克尔逊-莫雷实验告诉我们这两个时间是一样的,我们可以据此说以太风不存在。但是,以太风不存在和以太不存在这绝对绝对是两码事啊! 我们都知道风就是空气的流动。那么,你会根据一个地方没有风就说这里的空气不存在么? 自己都觉得很荒谬是不是?高铁在铁轨上飞奔,但车厢里并没有风,我们能因此就说高铁里没有空气么?同理,为什么我们要根据迈克尔逊-莫雷实验的零结果就判断以太不存在呢?
我们做任何判断都要合乎逻辑,我们不能因为后来狭义相对论不需要以太,你就直接偷懒说迈克尔逊-莫雷实验“证明了”以太不存在。否则,科学的严谨和严密何以立足? 那么,根据迈克尔逊-莫雷实验的零结果,我们最容易、最自然想到的结论是什么呢? 我不知道你是怎么想的,反正我觉得就像高铁里感觉不到风一样。我们在地面观测不到以太风,最合理的猜测就是地球会拖着附近的以太跟着它一起运动,就像粘性流体那样。这样,地球和地面附近的以太就会保持相对静止,所以就观测不到以太风了。这就是流体力学大佬斯托克斯的完全曳引假说。 以太在当时的感知是极强的,认为光的传播需要一种介质的想法合情合理,各种实验也能用基于以太的部分曳引假说得到很好的解释。在这种环境下,你觉得物理学家们会因为观测不到以太风就直接把以太这个根基给丢了么?那也太暴躁了吧!
爱因斯坦确实抛弃了以太,但绝不是因为这个实验。迈克尔逊和莫雷做了这个实验以后,也只是转向了斯托克斯的完全曳引假说。也就是说,他们也认为没观测到以太风,是因为地球完全拖曳了以太,导致它们相对静止,而不是说以太不存在。当然,完全曳引假说后来又被其它实验否决了,那是后话,我们这里不细谈。 迈克尔逊-莫雷实验让物理学家们大为震惊。本来,菲涅尔的部分曳引假说跟许多一阶实验都符合得非常好,人们也慢慢倾向于认为以太在透明介质中会被部分拖曳,在真空中应该是完全静止的,这样地球跟以太之间就应该有相对运动。 现在迈克尔逊-莫雷实验跑过来说没有相对运动,地球和附近的以太应该是相对静止的,这就直接跟部分曳引假说发生了冲突。完全曳引假说虽然能解释这个实验,但跟其它实验又发生了冲突,你让我们怎么办? 当然,在物理学里,危机就是转机。物理学家们从来不惧怕问题,相反,如果所有的问题都被解决了,那他们就要失业了。针对迈克尔逊-莫雷实验这个匪夷所思的结果,物理学家们进行了大量的思考,做的最好的是洛伦兹。 12洛伦兹和电子论提到洛伦兹,很多人的第一反应就是高中学的洛伦兹力,也就是运动电荷在磁场中受到的力。这是一个非常基本的概念,所以,可以猜测洛伦兹在电动力学里应该非常重要,虽然这很容易被忽视。 提到经典电动力学,很多人的脑袋里只有麦克斯韦。但是你想啊,麦克斯韦方程组使用的都是诸如电通量、磁通量、散度、旋度这样的概念,而我们高中学习电磁学用的都是电子移动产生电流,电子在电场中受到电场力,运动电子在磁场中受到洛伦兹力等这样的概念。
那么,用电子这种微观粒子来解释电磁现象是谁最先提出来的呢?当然,话都说到这里来了,你们十有八九会猜是洛伦兹干的。没错,就是他干的。也就是说,洛伦兹对麦克斯韦的电磁理论做了一种微观上的解释。他认为电是由微小粒子组成的,电磁世界的各种现象现象都跟这种微小粒子的运动有关。这种微小粒子就是我们后来说的电子,洛伦兹的这套理论就叫电子论。 电子论是电动力学的一次重大进步,洛伦兹也因此获得了第二届(1902年)诺贝尔物理学奖,虽然大家都只记得伦琴因为x射线获得了第一届。 1953年,爱因斯坦在洛伦兹的百年诞辰上这样说道:我们这个时代的物理学家,多半没有充分了解到洛伦兹在理论物理基本概念的发展中起到的决定性作用。造成这种怪事的原因,是洛伦兹的基本观念已经深深地变成了他们自己的观念,以至于他们简直无法体会到这些观念是多么大胆,以及它们使物理学的基础简化到什么程度。
既然洛伦兹如此钟爱电子论,那他自然也希望能从电子论的角度给这些以太实验一个合理的解释,而他确实也做到了。他从电磁理论导出了菲涅尔的部分曳引系数(这就意味着可以解释那些一阶光学实验),经过长时间的思考,他又想出了一个可以解释迈克尔逊-莫雷实验的办法。这些内容最终汇集在1895年这篇名为《关于动体电现象和光现象的理论研究》,长达137页的专题论文上,而爱因斯坦对这篇论文非常熟悉。 更加重要的是:洛伦兹的这套理论不仅在以太系中成立,在相对以太做匀速直线运动的参考系中也成立,虽然只是针对v/c一阶情况。 当然,在洛伦兹眼里,他只是用了一些数学技巧把运动参考系的现象转化到绝对静止的以太参考系里来处理。但爱因斯坦眼里,这妥妥的就是电磁理论在v/c一阶情况下满足相对性原理的绝佳证明啊。 洛伦兹原本计划按照菲涅尔的思路来,假定以太会以菲涅尔曳引系数被物体拖动。但后来他发现没这个必要,利用极化,在静止以太下就可以解释观测到的现象。而且,洛伦兹还把以太和有质量的物质做了严格的区分,并拒绝对以太的力学性质再做任何假设。 这就有意思了,你们看看集万千宠爱于一身的以太,到洛伦兹这里变成啥了:它是完全静止的,没有任何力学性质,还跟其它有质量物质不一样,以太在这里完完全全变成了一个啥也不干的纯背景墙。 爱因斯坦后来诙谐地说:“洛伦兹留给以太的唯一力学性质就是不动性。狭义相对论带给以太概念的全部变革,就是取消了以太最后的这个力学性质,即不动性。” 大家可以看到,以前人们认为以太之于光波,大致就类似水之于水波,空气之于声波,都认为是相邻介质点之间的力学作用形成了波。
但是,洛伦兹从电子论出发,把以太的力学性质都给剥夺了,让以太变成了一个纯背景墙,这变化是非常大的。 13长度收缩假说那么,洛伦兹又是如何利用这套理论解释迈克尔逊-莫雷实验的呢? 洛伦兹的思路跟菲涅尔类似,也是一种补偿法。如何补偿?按理说,光先顺着以太风再逆着以太风运动,比来回都没有以太风要稍微慢一点。既然慢了一点,那我们就应该能把这个时间测出来,但是迈克尔逊-莫雷实验说根本测不出这个时间,怎么回事? 那洛伦兹就说,在沿着以太风的方向上,光的总速度变小了,时间没变,那就只能是运动的总距离减小了,这样才能对上号嘛。 就像两个人赛跑,一个跑得快一个跑得慢,但他们却同时到达了终点。这就说明他们跑的距离不一样,速度快的多跑了一点,速度慢的少跑了一点,如此才能同到达。 现在这两束光也是,它们运动的时间一样,但是沿着以太风方向的光的速度要慢一些,那就只能认为这个方向上的光运动的距离要小一些。具体到迈克尔逊-莫雷实验,就是沿着以太风方向的干涉仪的长度会变短,这就是洛伦兹的长度收缩假说。
洛伦兹认为这并非不可能,只要我们认为仪器分子间的作用力也会受以太影响,那么以太运动时,分子间的距离是有可能减少的。利用长度收缩假说,洛伦兹解释了迈克尔逊-莫雷实验。 同时,我们也要清楚:洛伦兹认为长度收缩是一种动力学性质,他认为物体分子间的距离是真真实实地发生了收缩;而狭义相对论里的尺缩效应则是一种纯粹的运动学效应,并没有什么力把物体压缩了。 此外,洛伦兹还引入了一个叫地方时(local time)的概念,证明了对应态定理(后面再细说),从而让他的理论在v/c一阶下是满足相对性原理的。虽然他自己从未提过相对性原理,只是把这些当作一种数学技巧。也不认为地方时在物理上有任何意义,但这对爱因斯坦的启发是非常大的。 最起码,光行差、斐索流水等只是从实验上让人觉得电磁现象在v/c一阶上是应该满足相对性原理的,而洛伦兹在1895年的论文则让你直接看到了一个在v/c一阶满足相对性原理的电磁理论,这给人的感觉和信心是完全不一样的。 我之所以反复强调1895年这个时间点,是因为这是爱因斯坦在发表狭义相对论论文(1905年)之前所知道的洛伦兹的最新工作,洛伦兹在1895年之后的工作爱因斯坦通通不知道,包括1904年大名鼎鼎的洛伦兹变换。当时并没有互联网,信息传递不发达,爱因斯坦又是一个远离学术中心的瑞士专利局小职员。而洛伦兹又在荷兰,所以这些都是很正常的。
但是,爱因斯坦毕竟是爱因斯坦,最然洛伦兹的理论对他启发很大,但他也只是批判性的接受。比如他就非常反对洛伦兹理论里的以太,即便以太在这里只是一个可怜兮兮的纯背景墙,爱因斯坦还是毫不犹豫地把背景连墙都给扔了。 在这里,我们看到了洛伦兹和爱因斯坦的核心分歧:洛伦兹的内心深处是需要这样一个绝对的以太的,只有以太系的时间才是真正的绝对时间,这样整个框架就还是牛顿式的。而洛伦兹也看到了在牛顿力学框架内解决这些问题的希望。 所以,爱因斯坦提出了狭义相对论之后,洛伦兹一方面对爱因斯坦的工作大加赞赏,另一方面却依然坚持自己的以太,这是很多人难以理解的。在狭义相对论之前坚持以太就算了,怎么狭义相对论都出来了,你还坚持以太? 在洛伦兹看来,像爱因斯坦那样抛弃以太,或者像自己这样坚持几乎已经没有任何力学性质的以太,通过一些数学手段把其它参考系的问题转化到以太系来处理,只是个人喜好问题。因为从来就没有人规定描述一种物理现象只能有一种理论,我们可以从不同的角度得到不同的理论。至于如何从中选择,除了一些公认的标准外,个人的喜好确实也是一种重要的因素。 洛伦兹放不下牛顿的绝对时空观,爱因斯坦则坚信不存在绝对空间和绝对运动。这让两人采用了完全不同的研究纲领,因而得到了不同的理论。 “不存在绝对运动”是一种根植于爱因斯坦灵魂深处的信念,所以他拒绝接受洛伦兹这种绝对静止的以太。这是爱因斯坦和其他物理学家最大的不同,也是理解爱因斯坦创立狭义相对论的关键。 那么,我们不禁要问:为什么爱因斯坦会如此坚信“不存在绝对运动”呢?如果这个事情这么重要,为什么其他物理学家不这样想呢? 14牛顿与水桶实验要理解这个事,我们需要先理解为什么之前大家基本上都认为存在绝对运动?这个问题倒是很好回答:因为祖师爷牛顿就是这么想的。牛顿是什么段位什么影响,不用我多说。他在出版了《自然哲学的数学原理》之后,基本上就是物理学家心中的神了。既然是神,那么自然就是神说什么,大家就跟什么,而牛顿认为存在绝对空间、绝对运动。
牛顿在《原理》中写道:绝对空间,其自身特性与一切外在事物无关,处处均匀,永不移动。物体从绝对空间的一处移动到另一处,就是所谓的绝对运动。 我坐在家里没动,那是相对地面没动,由于地球要围着太阳公转,所以我相对太阳是运动的。同样,即便我相对太阳静止,我相对银河系仍然是运动的。 这个逻辑似乎可以无限重复下去,我们似乎永远没有办法说自己是绝对静止的。但牛顿说有办法:你只要相对绝对空间静止,你就是绝对的静止;相对绝对空间存在运动,就是绝对的运动。 绝对空间和绝对运动(类似的还有绝对时间)在牛顿的力学体系里非常重要。缺少它们,很多东西就无法自洽,牛顿就无法自圆其说。因为非常重要,所以牛顿还精心设计了一个实验来“证明”绝对空间和绝对运动的存在,这就是大名鼎鼎的牛顿水桶实验。 实验步骤非常简单:在一个桶里装点水,然后旋转水桶,就完了。再来看看实验现象:水一开始是静止的,在旋转木桶的带动下慢慢旋转。最后,水跟桶会保持相同的旋转速度,水面也会凹下去一点点。
那么,牛顿想通过这个实验说明什么呢?一个如此稀松平常的现象,怎么就能证明绝对空间的存在呢? 牛顿说,你看啊,一开始水和桶都是静止的,它们之间没有相对运动,此时水面是平的(状态一)。到最后,水和桶都在运动,但是它们之间还是没有相对运动(水和桶的转速一样),但是水面却是凹的(状态二)。 为什么一个水面是平的,另一个却是凹的呢? 有人说这简单,状态一里水和桶没有转动,所以水面是平的;状态二里水和桶有转动,所以水面是凹的。但问题是,在状态二里,水和桶之间明明也是相对静止的(以相同的速度旋转),并没有相对转动啊。 这时有人会说,我是说状态二里的水本身在转,并不是说它相对水桶在转。正是这种真正的转动让水面凹下去了,而状态一里水和桶并没有真正的转动,因此水面是平的。 听起来好像很有道理,那问题又来了:你要如何判断水是否在做真正的转动呢?当水相对什么转动时才是真正的转动?或者换个角度,你觉得一开始的水没有真正的转动,那么,真的有东西是处在绝对的无转动状态么? 水井里的水是真正的无转动么?显然不是,因为地球在自转,会带着水井里的水一起转动。同理,太阳、银河系等都不可能是真正的无转动。 所以牛顿认为,我们必须假设一种自身特性与一切外在事物无关,处处均匀,永不移动也永不转动的东西存在,这就是他在《自然哲学的数学原理》里定义的绝对空间。
只有相对绝对空间无转动,才是真正的无转动,这时候水面才是平的;如果你相对绝对空间有转动,即便你们之间没有相对转动,水面也会是凹的。 牛顿就这样给了水桶实验一个自洽的说明,也顺带“证明”了绝对空间的存在。 然后,既然存在绝对空间,那绝对运动就是理所当然的事情了。有了绝对空间,配上伽利略变换,牛顿力学的所有定律就可以在惯性系里具有相同的数学形式,也就是满足相对性原理,完美! 通过水桶实验,牛顿试图向大家证明:绝对空间是存在的,相对绝对空间的运动(绝对运动)也是可以被实验证明的。 15马赫与水桶实验然而,在很久很久以前,就有人持有一种与之截然相反的观点。比如亚里士多德就认为:不存在绝对空间,空间只不过是物体的空间秩序。如果没有物体以及物体间的相互关系,空间就根本不存在,一个“空无一物”的绝对空间是没有任何意义的。 话虽然很拗口,但是想表达的意思却很简单。比如我问你国家图书馆在哪?你说在动物园的西面。我问你在哪,你说在公司。当我们在回答“某个物体在哪里?”的时候,我们其实是在指明这个物体的周围有什么东西。 如果你处在空无一物的虚空里,问你在哪就没有任何意义了,空间也就失去了意义,这是一种相对主义的空间观。但牛顿肯定会反对,他会说即便在空无一物的虚空里,绝对空间依然是存在的。 这是两种完全针锋相对的观点。 在牛顿以及牛顿之后的两百多年里,因为牛顿力学的巨大成功,绝对空间的观点占据着压倒性的优势。虽然在牛顿同时代就有人(比如莱布尼茨和贝克莱)批评绝对空间,但他们都只能从纯哲学的角度进行批判,无法触及绝对空间背后的大靠山——牛顿力学。因此,他们的批判显得没有多少份量,也没能引起物理学家的关注。 在牛顿力学统治世界200多年后,第一位重量级对手登场了,他的名字叫恩斯特·马赫。马赫对牛顿力学和绝对时空观进行了深刻而又系统的批判,这些内容都写进了他的名著《力学及其发展的批判历史概论》(又名《力学史评》)里。
马赫是第二代实证主义大佬,实证主义这个词我在其它文章里也多次提到。他们主张一切科学知识必须建立在观察和实验的基础之上,认为经验是知识的唯一来源和基础。他们旗帜鲜明的反对形而上学,认为科学是对经验的描写,我们不必也不应该去追问科学背后的“本质”,并且应该把那些无法观测的概念从科学里清除出去。 马赫和当时的实证主义虽然有些过分夸大经验的作用(这些后来也被爱因斯坦批评),但他们在当时的积极作用是非常明显的,影响了一大批相对论和量子力学初创期的物理学家。 实证主义哲学原本就是从现代自然科学的思想中发展起来的。哲学家们把它系统化之后,又反过来影响了一大批科学家,这是科学和哲学相互促进的一个典范。 因为有系统的哲学理论做后盾,马赫对牛顿力学进行深入而又系统的批判,这里最出名的就是马赫对绝对时空观的批判。为什么马赫要批判牛顿的绝对时间和绝对空间呢? 大家只要看一下绝对空间的定义,再想一下实证主义高举的大旗,就会明白这俩不打起来才怪。为什么?实证主义主张科学知识必须建立在观察和实验的基础上,要把那些无法观测的概念从科学里清除掉。 而绝对空间是什么?能看到么,能摸到么,能被观测到么?都不能!一个物理概念无法被任何实验观测到,那么它就只有形而上学上的意义,而不具备科学上的意义。所以,按照实证主义的原则,这种概念就应该被剔除掉。 当然,牛顿肯定会跑出来申辩,说我已经用水桶实验证明了绝对空间和绝对运动的存在,你怎么能说它们无法被观测呢?你怎么能凭空污蔑人的清白?
马赫嘿嘿一笑,心想牛顿终于祭出了他手里的王牌,看我怎么压死他的牌。然后马赫就提出了一种全新的观点来解释水桶实验,并且试图向大家证明:解释水桶实验根本不需要什么绝对空间,这个实验也无法成为绝对空间的证明。 牛顿对水桶实验的解释是:如果水相对绝对空间没有转动,水面是平的;如果水相对绝对空间有转动,水面是凹的。 而马赫的实证主义背景不允许他使用绝对空间这种无法观测的概念。于是,他提出了一种水桶实验的新解释:如果水相对整个宇宙背景无转动,水面是平的;如果水相对整个宇宙背景有转动,水面是凹的。 咋一看有点懵,有人会说,马赫这不就是把绝对空间换成了整个宇宙背景吗,就改了一个名词而已,其它啥也没变啊。是,确实就是只改了一个名词,但这个名词一改,整个意义就完全不一样了,为啥? 因为绝对空间是一个无法观测的概念,而整个宇宙背景却是我们实实在在可以观测到的东西,这就是根本区别。当马赫把水相对整个宇宙背景是否转动作为判断标准时,他其实是在认为:宇宙中所有物质与水的相互作用,决定了水面是否会凹下去。而其它物质与水的相互作用,则完完全全属于可观测的物理学内容。
就这样,马赫基于实证主义的思想,利用全宇宙所有物质对水的相互作用代替了绝对空间,否定了牛顿的绝对时空观。然后也得到了一个自洽的水桶实验的解释,这些思想后来被爱因斯坦总结为马赫原理。当然,口说无凭,马赫也想发展一套动力学理论来解释马赫原理,但是并不成功。爱因斯坦创立广义相对论之后,觉得自己创建了一套符合马赫原理的理论。然后就像完成了老师夙愿的学生一样,兴高采烈地拿着广义相对论给马赫看,以求表扬,结果却被马赫一顿批评。不过,随着研究的深入,大家发现广义相对论确实与马赫原理并不一致,这是后话。 16不存在绝对运动马赫对爱因斯坦创立狭义相对论的影响是非常巨大的。爱因斯坦在学生时代就读过马赫的《力学史评》,奥林匹亚科学院(大学刚毕业的爱因斯坦和几位朋友创建的一个以科学和哲学的交界问题为主题的学习小组。他们经常一起共同研读一本书,这也是我创建长尾社群的初衷和奋斗目标~)期间又跟朋友们仔细研读了这本书。
在仔细研究了马赫的思想之后,爱因斯坦的态度基本上就变成了:马赫说得对,牛顿的绝对时空观不可取。没有绝对空间和绝对运动,我们能观测到的都是相对空间和相对运动。 这是爱因斯坦跟其他老一辈物理学家们最大的区别。因为爱因斯坦很年轻,牛顿力学的那套框架对他束缚不深。在他对新事物、新思想接受最容易的年纪,马赫对牛顿力学进行了深入而又系统地批判,对休谟《人性论》的研读又大大增加了他怀疑一切的勇气。 所以,在其他物理学家还在试图通过对牛顿力学这套框架的修修补补来解释各种新实验的时候,爱因斯坦早已坚信“不存在绝对运动”了。于是,他的问题就变成了如何协调牛顿力学和麦克斯韦电磁理论,而不是试图用牛顿力学去解释一切。 看懂了这点,我们才能明白爱因斯坦的那些神来之笔,那些似乎是从天而降的天才想法是怎么来的。才能明白为什么爱因斯坦跟其他物理学家的思路不一样,为什么他会捷足先登创立狭义相对论。 理解了爱因斯坦坚信不存在绝对运动,就很容易理解对于洛伦兹1895年的那篇论文,为什么爱因斯坦一方面对洛伦兹在那些“技术上”的处理非常满意,另一方面又对洛伦兹的静止以太假设非常排斥了。 不存在绝对运动,也就是说只有两个物体之间的相对运动才是实在的。那么,两个做匀速直线运动的物体就不存在谁更特殊的问题,它们应该都是等价的,这也是相对性原理的体现。 但是,在洛伦兹的静止以太假说里,以太系始终是那个最为特殊的参考系,它与其它参考系并不等价。虽然洛伦兹从来没有说他的静止以太就是牛顿的绝对空间,但从它的性质来看,一个没有任何力学性质的纯背景墙式的静止以太,跟绝对空间也没什么大的区别了。所以,爱因斯坦断然无法接受。
牛顿认为存在绝对空间,通过伽利略变换,可以让牛顿力学的定律在那些相对绝对空间匀速直线运动的参考系里也能保持数学形式不变。洛伦兹认为存在静止的以太,通过引入地方时和对应态定理,可以让电磁定律在那些相对以太匀速直线运动的参考系里保持数学形式不变。牛顿和洛伦兹处理问题的内核是一致的。 马赫认为不存在绝对空间,那么所有相互做匀速直线运动的惯性系就应该是真正完全等价的,并没有哪一个更加特殊。而物理定律对所有惯性系平权,并不存在一个更加优越的参考系,这正是狭义相对论里相对性原理的精髓。 也因为如此,一些被洛伦兹认为只是纯数学技巧,只是为了通过这种变换方便在以太系处理问题的手段,在爱因斯坦的眼里就有了物理意义。因为对爱因斯坦来说,每一个惯性系都是同等真实的,一切能观测到的效应,都应该是相对运动造成的。 从哲学的角度来看,如果爱因斯坦接受了马赫的批判,就应该认为不存在绝对运动不仅对力学有效,对电磁理论也应该是有效的。所以,电磁理论满足相对性原理就应该是理所当然的事情。 当然,如果只是从哲学上的思辨,就认为电磁理论也应该满足相对性原理,似乎显得说服力不够。在这种环境下,爱因斯坦深入思考了一个非常有名的实验,这个思考让他彻底坚信电磁理论必须满足相对性原理,也让他发现了电和磁在新理论里应该具有的地位。 这应该也是爱因斯坦创立狭义相对论过程中最重要的一个实验,其地位远远超过光行差、斐索流水、迈克尔逊-莫雷之类的实验。爱因斯坦在《论动体的电动力学》的开篇就用了整整一段话来描述这个实验,而对其他人都很重视的以太漂移实验一笔带过。这就是大家都非常熟悉的法拉第电磁感应实验。 17电磁感应之思为了让大家对此有更加细致的了解,我把狭义相对论论文的开头部分直接摘抄过来:大家知道,麦克斯韦电动力学——像现在通常为人们所理解的那样——应用到运动的物体上时,就要引起一些不对称,而这种不对称似乎不是现象所固有的。比如设想一个磁体同一个导体之间的电动力的相互作用。在这里,可观察到的现象只同导体和磁体的相对运动有关,可是按照通常的看法,这两个物体之中,究竟是这个在运动,还是那个在运动,却是截然不同的两回事(摘自《论动体的电动力学》第一段)。 1831年,法拉第报告了电磁感应现象,他发现一根导体在磁铁周围做切割磁感线运动时,回路里会产生电流,也就是磁能够生电。当然,法拉第还做了各种实验,总结了磁能生电的各种情况,这里我就不细说了。
爱因斯坦关注的重点是:法拉第发现只要导体跟磁铁之间有相对运动就能产生电流,而不管你是导体不动磁铁动,还是磁铁不动导体动。但是,当时的理论对这两种情况的解释却是截然不同的。 为了让大家更直观地了解这个实验,也为了让它更加符合相对论实验的一贯风格,我把它等价地搬到火车上来。实验很简单:在火车上放一个导体和导线组成的回路,地面上放一块磁铁。火车开动后,火车上的导体就会切割地面磁铁产生的磁感线,从而在回路里产生电流。
这是一个非常简单的电磁感应实验,类似的实验法拉第做了一大把,我这里只不过把导体回路放在了火车上而已。实验结果也毋庸置疑:运动导体切割磁感线,回路里一定会产生电流。但是,当我们分别站在地面(磁体不动导体动)和火车上(导体不动磁体动)看问题时,爱因斯坦在论文里说的问题就出现了,有意思的事情也随之而来。 在火车上,我们看到的是:眼前的导体和回路都没动,当火车经过磁铁那里时,回路里的磁感线突然增加了,也就是出现了变化的磁场。 那么,我们要如何解释这个现象呢?很简单,根据法拉第定律,变化的磁场会产生电场。所以,回路里会出现电场,导体中的自由电子就在电场的作用下定向移动,于是回路里就产生了电流。 在地面上,我们看到的是:磁铁在地面静止不动,磁感应强度没有变化。火车经过这里时,火车上运动的导体会切割磁铁产生的磁感线。 这时候我们是如何解释的呢?我们会说,导体里有很多自由电子,火车运动时,这些自由电子也会跟着一起运动,而运动电子在磁场中会受到洛伦兹力。所以,当火车经过磁铁上方时,电子就会在洛伦兹力的作用下定向移动,于是在回路中形成电流。 因此,不管站在地面还是火车上,我们都能得出正确的结果。但是其他人并不这样看,他们认为电磁理论只在以太系中才成立,在其它参考系里是不成立的。因此,他们觉得只有站在地面上的人做的分析才是正确的,火车上的人则是在错误地使用电磁理论(因为火车系不是以太系)。而他们之所以都能给出正确的结果,那仅仅是一个巧合。 一个巧合,一个巧合,一个巧合!!! 重要的事情说三遍!我觉得在面对巧合这个事情上,是最能体现爱因斯坦之所以是爱因斯坦的。科学上有各种各样的巧合,那么哪些是真巧合,哪些只是看起来像巧合,背后还有更深层的原因没有被发现? 要回答这些并不容易,它需要我们对这些问题进行深入而透彻的思考。而很多东西一旦变成了常识,就很难再引起人们的注意,但是爱因斯坦一直对它们保持着警觉。爱因斯坦自己倒是很谦虚地说,这是因为他智力发育比较慢,所以,很多同龄人已经思考过的问题,他没有想通。于是,他就继续琢磨,这样想问题就想得深入了一些。 当然,爱因斯坦说他智力发育比较慢,你信吗?但是他确实一直都像孩子一样,对许多大人们都习以为常的东西继续刨根问底。几年以后,爱因斯坦又从“惯性质量等于引力质量”这个被大家视为巧合的地方开始深思,最后创立了广义相对论。
长尾社群有一个六年级的小学生,他说他学习新知识比较慢,因为他无法接受自己知识体系以外的东西。所以,他需要把新知识充分理解吸收,变成原来知识网络的一部分之后才敢放心大胆的往前走。这种慢,跟爱因斯坦的“智力发育比较慢”颇有些类似之处。 18相对性原理好,回到正题。地面系和火车系对电磁感应的看法不一样,但是都能给出正确结果。别人觉得这是个巧合,爱因斯坦却认为这分明是在暗示我们:电磁理论在地面系能用,在火车系也能用,这是电磁理论满足相对性原理的铁证。 但是,我们刚刚也分析了:火车上的人觉得变化的磁场产生了电场,磁铁附近有电场;地面上的人觉得是运动电子在磁场中受到了洛伦兹力,磁铁附近没有电场。还有个大家更为熟悉的例子:火车上有一个静止的电荷,火车系会觉得这里只有电场没有磁场;地面的人会觉得这个电荷在动,而运动电荷会产生磁场,所以这里有磁场。 从这里我们可以看到,火车系能看到电场或者磁场,地面系却不一定能看到,反之亦然。这是很多人认为电磁理论不满足相对性原理的铁证,他们觉得电场、磁场这么实实在在的东西,怎么能在一个参考系里有,在另一个参考系里又没了呢?所以,唯一合理的解释就是电磁理论不满足相对性原理,它只在某些参考系(比如以太系)成立,在其它参考系是不成立的。 但是,如果爱因斯坦坚信电磁理论也满足相对性原理,那么地面系和火车系看到的现象就必须同等真实。这样的话,他就只能认为单独的电场和磁场都是相对的,只有电和磁的总和才是客观实在,这就很有狭义相对论内味了。
于是,我们就可以用一种统一的方式处理地面系和火车系的问题,爱因斯坦在论文开头提到的那种不对称性也随之消失了,这不是很好么? 爱因斯坦对这个实验的印象是如此之深,以至于他在论文的开头花了整整一段来讲它。 讲完之后他接着写到:诸如此类的例子,以及企图证实地球相对于“光媒介”运动实验的失败,引起了这样一种猜想:绝对静止这概念,不仅在力学中,而且在电动力学中也不符合现象的特性。倒是应当认为,对于力学方程适用的一切坐标系,对于上述电动力学和光学定律也一样适用。对于第一级微量来说,这是已经证明了的,我们要把这个猜想提升为公设。 这个公设自然就是狭义相对论的两大基本假设之一的相对性原理:一切物理定律(包括力学、电磁学、光学)在所有的惯性系里都是等价的,它们的数学形式在所有的惯性系里都相同。伽利略只说力学定律满足相对性原理(上一篇文章里详细说了),爱因斯坦则把它的范围扩大了,认为电磁定律、光学定律也应该满足相对性原理。 而对于光行差、斐索流水等著名的以太漂移实验,爱因斯坦在论文里只提了一句“以及企图证实地球相对于光媒介运动实验的失败”,然后就没有了。另外,他在后面也写了“对于第一级微量来说,这是已经证明了的”。这里特意提到v/c一阶量级,也说明他没怎么重视迈克尔逊-莫雷实验这个v2/c2二阶量级的实验。 这样,结合前面各种实验、理论以及哲学上的分析,爱因斯坦就正式回答了文章开篇的灵魂拷问:电磁理论是否满足相对性原理?他坚定地回答:是!而一旦认定电磁理论满足相对性原理,那所有的惯性系就都等价了,电磁定律也将在所有的惯性系里成立。与此同时,搞特殊的以太系将不再有任何立足之地。 19真正的困难就在爱因斯坦一路高歌猛进,试图用这种思路协调牛顿力学和麦克斯韦电磁理论的时候,他遇到了一个困难,一个真正棘手的困难。 如果我们认为电磁定律满足相对性原理,那么麦克斯韦方程组就应该在所有的惯性系里都成立。在《见证奇迹的时刻:如何从麦克斯韦方程组推出电磁波?》里我就给大家推导了,我们可以在不预设参考系的条件下直接从麦克斯韦方程组推出电磁波的速度就是光速c。
现在相对性原理说麦克斯韦方程组在所有的惯性系里都成立,那我自然就可以在所有的惯性系里都推出电磁波(光)的速度是c。也就是说,光在所有惯性系里的速度都是c,它不随着参考系的改变而改变。我们知道这就是后来的光速不变原理。当然,我们似乎可以直接从麦克斯韦方程组和相对性原理推出光速不变来。但是,麦克斯韦方程组在当时的地位还没有这么稳固,许多人基于光速可变对麦克斯韦方程组做了各种令人难以置信的修改。爱因斯坦也考虑过一些发射理论,但都失败了。 所以,爱因斯坦最后还是选择把光速不变作为一条单独的原理提出来,而不是作为相对性原理和麦克斯韦方程组的推论。不管怎样,在爱因斯坦创立狭义相对论的过程中,光速不变实在显得太过荒谬,完全跟常识相悖。 你想想,怎么能一个物体的速度在所有的惯性系里都一样呢?在一辆速度为300km/h的高铁上,列车员以5km/h速度朝车头走去。那么,火车上的人会觉得列车员的速度是5km/h,地面上的人觉得他的速度是300+5=305km/h。 火车系和地面系当然会觉得列车员的速度不一样,而且就差了火车的速度300km/h。你要说地面和火车上的人觉得列车员的速度是一样的,别人估计要建议你去看眼科了。
而现在,我们只要让麦克斯韦方程组满足相对性原理,就必然会得出火车系和地面系觉得光速都一样的结论,这不反了么? 明明电磁理论应该满足相对性原理,那为什么让麦克斯韦方程组满足相对性原理就会导致光速不变这个怪物呢?怎样才能把它们协调起来呢? 这个问题把爱因斯坦折磨得死去活来的,他写到:“为什么这两件事情彼此矛盾,我感到这个问题难以解决。我怀着修正洛伦兹某些思想的希望,差不多考虑了一年,毫无结果。这时候我才认识到,它真的是一个难解之谜。” 也就是说,爱因斯坦花了整整一年时间去思考这个问题,但没有任何结果。 在一个阳光明媚的日子,爱因斯坦去拜访了好友兼同事的贝索。他们就这个问题讨论了很多,然后爱因斯坦突然就明白了。第二天爱因斯坦又去看贝索,开口就说:“太感谢你了!我已经完全解决这个问题了。” 解决这个问题的5周以后(注意爱因斯坦当时在专利局上班,他只能用业余时间写论文),爱因斯坦就发表了划时代的论文《论动体的电动力学》。
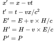
在这篇论文里,他没有引用任何文献,没有提到任何当代著名的科学家。唯独在论文的最后写了这么一小段:“最后,我要声明,在研究这里所讨论的问题时,我曾得到我的朋友和同事贝索的热诚帮助,要感谢他一些有价值的建议。” 也就是说,贝索是爱因斯坦在狭义相对论的论文里唯一明文感谢的人。 他那天到底跟贝索聊了啥,我们现在是没法知道了。但是,我们试着猜想一下,看看爱因斯坦在1905年初到底知道些什么,困扰他的问题又是什么,要怎样才能合理地解决这些问题。 20对应态定理这个问题的产生很简单:只要我们认为麦克斯韦方程组满足相对性原理,就一定会推出光速不变这个难题。在经历了这么多的思索以后,爱因斯坦已经坚信电磁定律必须满足相对性原理了。所以,他要做的是想办法协调相对性原理和光速不变,而不管它们看起来有多矛盾。 那要怎样协调呢?爱因斯坦肯定会想到洛伦兹1895年的论文,因为洛伦兹在这篇论文里提出了一套满足相对性原理的一阶电磁理论。这一点爱因斯坦自己也说了:“我怀着修正洛伦兹某些思想的希望,差不多考虑了一年。” 当然,在洛伦兹眼里,他提出的是一套在以太系和相对以太做匀速直线运动的参考系都适用的电磁理论。但是爱因斯坦根本不相信有什么绝对静止的以太,所以,在他眼里这就是一套满足相对性原理的一阶理论。 也就是说,洛伦兹最起码在v/c一阶情况下让它们协调了起来,那爱因斯坦肯定要来这里找找灵感啊。那洛伦兹是如何做到这一点的呢?他的核心是证明了一个叫对应态定理的东西。 对应态定理是说,如果我们在相对以太静止的参考系(x,t)里考虑一个电磁状态,用E、H、P分别表示电场、磁场、电极化矢量。那么,在相对这个参考系以速度v运动的新参考系(x’,t’)里,就存在一个对应的态E‘、H‘、P’。在v/c一阶情况下,它们作为x’与t’的函数,与E、H、P作为x与t的函数,在数学形式上是一样的。 在这两个参考系里,这些量的对应关系是这样的(x表示x轴坐标,t表示时间):
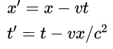
是不是有点拗口? 确实有点,我这里主要是想保留洛伦兹思想的原汁原味,所以没做什么改动。那些电磁物理量大家没必要去细究,洛伦兹的主要意思是:如果我在一个新的参考系里把横坐标x’和时间t’写成上面这个样子。那么,在一阶情况下,那些电磁物理量的数学形式就可以跟原来的保持一致。 这不就是说它们在v/c一阶下满足相对性原理么?牛顿力学是通过伽利略变换满足相对性原理的,我们来看看洛伦兹采用的时空变化关系。也就是从一个惯性系变换到另一个惯性系时,时间坐标和空间坐标要怎么变:
在相对原来参考系以速度v运动的新参考系里,空间坐标x’=x-vt是非常正常的。它们之间就差了一个参考系的运动速度和时间的乘积(就像你在地面和火车的距离,就差了火车的速度乘以时间一样),伽利略变换里也是这样。 关键就是这个时间t’了,它和t之间有一个从来没见过的复杂关系,而且还跟光速c有关。洛伦兹发现只有把t’写成t’=t-vx/c2这个样子,那些电磁物理量才能在两个惯性系里都保持一样的数学形式。可能他也不明白为什么要这样写,但是发现只有这样写,才能满足相对性原理。 所以,对洛伦兹来说,这只是一个纯粹的数学技巧,没有什么真实的物理意义在里面。于是,洛伦兹把t称为一般时,而把t’成为地方时(local time)。从名字你也能看出来,洛伦兹认为相对以太系静止的t才是一般意义上的时间,是真实的时间。而t’只是一个地方时,只是为了满足对应态定理而增加的一个数学技巧。
上一篇:仪征市儿童“关爱之家”建设标准与管理办法(试行)
下一篇:佳音特||电影行业英文翻译
最近更新旅游资讯
- 北京IN10018片II期临床试验-IN10018 或安慰剂联合PLD 治疗铂耐
- 重庆西南医院体检中心
- 价值理论论文范文
- 内娱出现第一个“侠女颜”!刚出道4天,小白花们慌了…
- 狗的射速又快又烫
- 震惊!原来我们那些年追过的电视剧三观如此畸形……
- 社区获得性肺炎合并脓毒症患者临床特征及死亡危险因素分析
- 笛安的“北京爱情故事”,满满的欲望和贪婪
- 读《金瓶梅》第13章:李瓶儿为何能看上西门庆?
- 十六岁高二学生没事时看看什么书好?
- 父母中毒而亡,警方问13岁女儿看到凶手没,女孩笑了:我就是凶手
- 别黑陈凯歌了,他有一部神作还不够吗?
- 高三沉沦观后感话题作文800字范文
- 思辨的张力
- 狐文化特辑【十三】狐妖余论:混迹红尘的修仙之狐——「仙狐」
- 喜欢K歌,看电影吗?这些英文一定要掌握!
- 21世纪最佳20部日本动画
- 中西方伦理思想发展比较研究
- 马鞍山人民医院医院历史
- 如何以「我穿越成了一个小妾(或通房丫头)」为题写一篇小说?
- 青海诗选刊 2017年第24期(总第36期)
- 吴军民
- 实用 | 教你如何做好校园景观!
- 无忧传媒三 片
- 《西游记》新解(十套珍稀古画插图)56:神狂诛草寇,道昧放心猿——遇强盗,唐僧软