手机访问:wap.265xx.comMixture-of-Experts(MoE)经典论文一览
Mixture-of-Experts (MoE) 经典论文一览
最近接触到Mixture-of-Experts (MoE)这个概念,才发现这是一个已经有30多年历史、至今依然在被广泛应用的技术,所以读了相关的几篇经典论文,在这里总结一下。
1. Adaptive mixtures of local experts, Neural Computation'1991
期刊/会议:Neural Computation (1991)
论文链接:https://readpaper.com/paper/2150884987
代表性作者:Michael Jordan, Geoffrey Hinton
这是大多数MoE论文都引用的最早的一篇文章,发表于1991年,作者中有两个大家熟知的大佬:Michael Jordan 和 Geoffrey Hinton。虽然是30年前的论文,但是读起来还是很流畅,没有什么“距离感”,建议读一读。
Main Idea:
提出了一种新的监督学习过程,一个系统中包含多个分开的网络,每个网络去处理全部训练样本的一个子集。这种方式可以看做是把多层网络进行了模块化的转换。
假设我们已经知道数据集中存在一些天然的子集(比如来自不同的domain,不同的topic),那么用单个模型去学习,就会受到很多干扰(interference),导致学习很慢、泛化困难。这时,我们可以使用多个模型(即专家,expert)去学习,使用一个门网络(gating network)来决定每个数据应该被哪个模型去训练,这样就可以减轻不同类型样本之间的干扰。
其实这种做法,也不是该论文第一次提出的,更早就有人提出过类似的方法。对于一个样本,第个 expert 的输出为,理想的输出是,那么损失函数就这么计算:
其中是 gating network 分配给每个 expert 的权重,相当于多个 expert 齐心协力来得到当前样本的输出。
这是一个很自然的设计方式,但是存在一个问题——不同的 expert 之间的互相影响会非常大,一个expert的参数改变了,其他的都会跟着改变,即所谓牵一发而动全身。这样的设计,最终的结果就是一个样本会使用很多的expert来处理。于是,这篇文章设计了一种新的方式,调整了一下loss的设计,来鼓励不同的expert之间进行竞争:
就是让不同的 expert 单独计算 loss,然后在加权求和得到总体的 loss。这样的话,每个专家,都有独立判断的能力,而不用依靠其他的 expert 来一起得到预测结果。下面是一个示意图:
MoE
在这种设计下,我们将 experts 和 gating network 一起进行训练,最终的系统就会倾向于让一个 expert 去处理一个样本。
上面的两个 loss function,其实长得非常像,但是一个是鼓励合作,一个是鼓励竞争。这一点还是挺启发人的。
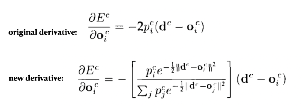
论文还提到另外一个很启发人的 trick,就是上面那个损失函数,作者在实际做实验的时候,用了一个变体,使得效果更好:
对比一下可以看出,在计算每个 expert 的损失之后,先把它给指数化了再进行加权求和,最后取了log。这也是一个我们在论文中经常见到的技巧。这样做有什么好处呢,我们可以对比一下二者在反向传播的时候有什么样的效果,使用对 第个 expert 的输出求导,分别得到:
两个loss function导数的对比
可以看到,前者的导数,只会跟当前 expert 有关,但后者则还考虑其他 experts 跟当前 sample的匹配程度。换句话说,如果当前 sample 跟其他的 experts 也比较匹配,那么对 第个 expert 的输出的导数也会相对更小一下。(其实看这个公式,跟我们现在遍地的对比学习loss真的很像!很多道理都是相通的)
以上就是这篇文章的理论部分,其实很简单,但它提到的MoE的设计,启发了后续无数的工作。
接下来一篇则是时隔20多年后的另一篇经典论文,可能也是大家更熟悉的MoE工作。
2. Outrageously Large Neural Networks: The Sparsely-Gated Mixture-of-Experts Layer, ICLR'17
期刊/会议:ICLR'17
论文链接:https://readpaper.com/paper/2952339051
代表性作者:Quoc Le, Geoffrey Hinton, Jeff Dean
这篇文章,从title上就可以看出来它的背景和目的——希望做出极大的神经网络。在此之前,有很多conditional computational的工作,在理论上可以在有限的计算成本内把模型做的非常大,但是那些方法在具体实现的时候,有各种各样的问题。这篇文章提出了 Sparsely-Gated Mixture-of-Experts layer ,声称终于解决了传统 conditional computational 的问题,在牺牲极少的计算效率的情况下,把模型规模提升1000多倍。
Sparsely-Gated Mixture-of-Experts layer
跟1991年那个工作对比,这里的MoE主要有两个区别:
Sparsely-Gated:不是所有expert都会起作用,而是极少数的expert会被使用来进行推理。这种稀疏性,也使得我们可以使用海量的experts来把模型容量做的超级大。
token-level:前面那个文章,是 sample-level 的,即不同的样本,使用不同的experts,但是这篇则是 token-level 的,一个句子中不同的token使用不同的experts。
这篇文章是在RNN的结构上加入了MoE layer:
MoE-2017
如图所示,每个token对应的position,都会有一个MoE Layer,每个MoE layer中包含了一堆的experts,每个expert都是一个小型的FFN,还有一个gating network会根据当前position的输入,选择少数几个expert来进行计算。
Gating Network
设和分别是 gating network 和第个 expert 的输出,那么对于在当前position的输入x,输出就是所有 experts 的加权和:
(跟第一篇论文的第一个公式类似)
但是这里我们可能有上千个 experts,如果每个都算的话,计算量会非常大,所以这里的一个关键就是希望 G(x) 的输出是稀疏的,只有部分的 experts 的权重是大于 0 的,其余等于 0 的 expert 直接不参与计算。
首先看传统的 gating network 如何设计:
然后,作者加入了 sparsity 和 noise:
总而言之,sparsity 是通过 TopK sampling 的方式实现的,对于非 TopK 的部分,由于值是负无穷,这样在经过 softmax 之后就会变成 0,就相当于关门了。noise 项则可以使得不同 expert 的负载更加均衡。在具体实验中,作者使用的K=2~4.
Expert Balancing
作者在实验中发现,不同 experts 在竞争的过程中,会出现“赢者通吃”的现象:前期变现好的 expert 会更容易被 gating network 选择,导致最终只有少数的几个 experts 真正起作用。因此作者额外增加了一个 loss,来缓解这种不平衡现象,公式如下:
其中 X 代表的是一个batch的样本,把一个batch所有样本的gating weights加起来,然后计算变异系数( coefficient of variation)。总之,这个反映了不同 experts 之间不平衡的程度。最后这个 loss 会加到总体 loss 中,鼓励不同的 experts 都发挥各自的作用。
上面就是 Sparsely-Gated MoE的主要理论,作者主要在 language modeling 和 machine translation 两个任务上做了实验,因为这两个任务,都是特别受益于大数据和大模型的,而本文的MoE的作用主要就在于极大地扩大了模型容量——通过MoE,把RNN-based网络做到了137B(1.3千亿)参数的规模,还是挺震撼的。效果自然也是极好的,我就不细说了。
上面的两篇,是MoE系列工作的基础,接下来介绍的工作,都是近几年的比较出名的工作,我们简单过一下:
3. GShard: Scaling Giant Models with Conditional Computation and Automatic Sharding, ICLR'21
期刊/会议:ICLR'21
论文链接:https://readpaper.com/paper/3040573126
GShard,按照文章的说法,是第一个将MoE的思想拓展到Transformer上的工作。具体的做法是,把Transformer的encoder和decoder中,每隔一个(every other)的FFN层,替换成position-wise 的 MoE层,使用的都是 Top-2 gating network。
GShard
文中还提到了很多其他设计:
Expert capacity balancing:强制每个expert处理的tokens数量在一定范围内
Local group dispatching:通过把一个batch内所有的tokens分组,来实现并行化计算
Auxiliary loss:也是为了缓解“赢者通吃”问题
Random routing:在Top-2 gating的设计下,两个expert如何更高效地进行routing
具体细节见论文吧。
4. Switch Transformers: Scaling to Trillion Parameter Models with Simple and Efficient Sparsity, JMLR'22
期刊/会议:JMLR'22
论文链接:https://readpaper.com/paper/4568736324836663297
虽然发表是2022年才在发表在JMLR上,Swith Transformer实际上在21年就提出了。它是在T5模型的基础上加入了MoE设计,并在C4数据集上预训练,得到了一个“又快又好”的预训练大模型。
Swith Transformer 的主要亮点在于——简化了MoE的routing算法,从而大大提高了计算效率。
结构如下:
Switch-Transformer
Swith Transformer 在论文中提到其设计的指导原则是——尽可能地把Transformer模型的参数量做大!(同时以一种简单高效的实现方式)
跟其他MoE模型的一个显著不同就是,Switch Transformer 的 gating network 每次只 route 到 1 个 expert,而其他的模型都是至少2个。这样就是最稀疏的MoE了,因此单单从MoE layer的计算效率上讲是最高的了。
下图展示了在同样的计算开销下,增大 experts 个数带来的性能提升,反正就是全面吊打T5,而且效率还一样:
Switch-curve
5. GLaM: Efficient Scaling of Language Models with Mixture-of-Experts, 2021
年份:2021
论文链接:https://readpaper.com/paper/4568736324836663297
Google Blog:https://ai.googleblog.com/2021/12/more-efficient-in-context-learning-with.html
这是Google在2021年推出的一个超大模型,比GPT-3大三倍,但是由于使用了Sparse MoE的设计,训练成本却只有GPT-3的1/3,而且在29个NLP任务上超越了GPT-3。
下面这个来自Google Blog的动图很形象地展示了GLaM的结构:
glam
其实我们可以发现,跟GShard几乎一模一样。
上表展示了GLaM跟其他大模型的对比。可以看到,虽然GLaM的总参数量有1.2T,但是在计算式实际激活的参数量只有96B,所以在inference的时候,比GPT-3等dense model要快得多。
GLaM使用的数据量也比Switch-Transformer等要大得多:
GLaM dataset
反正最终的结果,是一个比GPT-3更快更强大的通用LM。
上面的三篇文章(GShard,Switch-Transformer,GLaM)都是希望通过MoE的方式把模型做得尽可能的大,大到普通人玩不起(动辄使用几百个experts),下面介绍的两篇文章,则更加亲民一点,是关于如何利用MoE去压缩模型、提高效率:
6. Go Wider Instead of Deeper, AAAI'22
期刊/会议:AAAI'22
论文链接:https://readpaper.com/paper/3184020733
这个文章名字比较唬人,思路也比较新颖,所以介绍一下。
它提出了名为 WideNet 的结构,想解决的主要问题是,如何在压缩模型参数量的情况下取得更好的效果。比如Albert通过参数共享机制降低了BERT的参数量,像tiny-bert之类的则是减少了Transformer的层数,但他们的性能都有了显著的下降。这篇文章提出,首先通过层之间的参数共享,来压缩模型大小,然后我们使用MoE的设计,扩大模型容量(但是模型在feed forward的时候计算量并没怎么提升),这样就可以达到“既要模型参数少,还要模型效果好”的效果。示意图如下:
WideNet
咋一看,似乎跟前面几个文章一模一样,但这里有一个重要区别:使用了recurrence机制,即层之间的参数共享(MoE layer也共享)。另外,为了增加学习的多样性,normalization layer 并不共享。
具体实现时,这里使用总共4个experts,每次选择Top2.
这样做的结果也挺不错:
7. MoEBERT: from BERT to Mixture-of-Experts via Importance-Guided Adaptation, NAACL'22
期刊/会议:NAACL'22
论文链接:https://readpaper.com/paper/4614341372211634177
这一篇文章,则是结合了 MoE 和 knowledge distillation,在提升 inference 速度的情况下,还能提高效果。主要想解决传统的distillation方法掉点的问题。具体做法是把一个预训练好的模型(比如BERT)的FFN层分解成多个experts,这样在计算的时候速度可以大幅提高(相当于只激活原始FFN网络的一部分)。然后再通过模型蒸馏把原始模型的知识蒸馏到MoE版本的模型中。
注意这个文章其实跟上面介绍的WideNet类似,也是为了减少参数量。但有一个区别在于,WideNet是自己从头开始pre-train的,但是本文的MoEBERT则是想尽可能地把已经pre-train好的模型迁移过来,通过distillation的方式在downstream task上直接学。
因此,如果按照传统的方式让模型自由的去学习不同的experts,效果可能不好,因为你没有大量的数据来预训练。所以这里涉及到一个关键步骤——Importance-Guided Adaptation:
在把 Transformer 中的FFN layer 改造成 MoE layer 时,我们先去计算 FFN layer 各个 neuron 的 importance,计算公式如下:
这里的和分别是 FFN layer 的某个 neuron 的输出和输出 weights vector,这个 importance score 也被应用于很多 model pruning 的工作中来衡量网络的某个 unit 的重要性。然后,在把 FFN 分解的时候,我们取最重要的一部分 neurons 在每个expert 中共享,剩下的部分平均分配到每个 expert。由于共享机制的存在,一定会多出一些 neurons,这部分就直接丢弃。(注意,这里我们并没有增加模型的参数量,而只是把一个全连接的FFN层,分解成多个sub-networks,加起来的参数量实际上是一样的)
这个示意图很形象:
MoEBERT
另外一个值得注意的点在于 expert routing 的方式,这里没有使用一个 gating network,而是在训练前直接给每个 token 都随机分配了一个 expert(具体是通过一个 hash function)。
在distillation部分,这里使用的逐层的distillation MSE loss,以及最后预测概率的 KL loss,二者加起来就是distillation 所使用的 loss。然后,再和原本自己的 CE loss 加起来,就是总体模型训练的loss。这里是直接在downstream dataset上面进行训练,属于 task-specific distillation。
实验的结果也验证了 MoEBERT可以在同样参数量(effective parameters,MoE layer中只考虑被激活的experts)的情况下超越其他 distillation baselines。
值得注意的时,这里的baselines中,task-agnostic的方法都使用了预训练,而task-specific都没有预训练。总体上看,使用了预训练的模型,效果都会更好一些,但是MoEBERT打破了这个规律,在只使用task dataset的情况下,取得了SOTA的结果。
图a验证了前面提到的 Importance-Guided Adaptation 的有效性;图b则是验证了通过hash function的方式,而不是 trainable gating的方式来进行routing 的有效性。
结语:
以上总结了一下笔者在阅读 MoE 相关文献时印象较深的几篇文章,由于笔者主要研究NLP方向,所以阅读的文献也主要是NLP相关的,其实 MoE 在各个领域中的应用已经十分广泛。比如Google提出的多模态MoE模型——LIMoE:
另外,跟 MoE 的理念相关的还有很多有趣的工作,比如:
Diverse Ensemble Evolution: Curriculum Data-Model Marriage, NeurIPS'18
Diversity and Depth in Per-Example Routing Models, ICLR'21
MoE 的思想,其实十分符合 Google 提出的 Pathways 愿景,也更加符合通用人工智能的设计理念。虽然目前 MoE 的工作,多数都是开发“超级模型”,但是上面列举的一些工作也表明 MoE 的用途还有很多,可以启发很多方向上方法的改进。
写作不易
如果觉得有所收获的话
大家就点一个赞吧 :)
上一篇:爱无尽思无语,望月寄遥寄相思;情系远方,浓浓的爱意在心里泛滥
下一篇:动漫日语学堂丨20堂 新年快乐 明けましておめでとう
最近更新人物资讯
- 青年节专题时文精选,1个专题+5篇模板+12篇范文+1个作文合集(角度+金句+精
- 最新质量管理体系基本要求(五篇)
- 赤坂丽颜值巅峰之作,禁忌之爱代表作品-高校教师成熟
- [王仲黎]人茶共生:布朗族茶文化话语中的生态伦理
- 北京文艺日历 06.12~06.18
- 有什么好看的少女漫画推荐?
- 为了孩子陪睡校长,请别拿这电影洗白
- 当贝市场tv版apk下载
- 茉
- BBC评出有史以来美国最伟大的100部电影
- 泰山岱庙古建筑之文化特色初探
- 阴阳五行学说范文
- 2022伦敦大学学院Bartlett建筑学院Part2毕业展
- 观看平凡英雄观后感1000字
- 纽约大都会博物馆(二)古希腊艺术与神话
- 收藏 | 带你穿越500年,看一看这50位著名艺术家
- ab血型女人的性格
- 春节活动策划方案
- 为什么孕妇生产有危险时,部分丈夫和婆婆会选择保小孩?
- 《员工自发管理的儒家修为智慧》
- 菲律宾尺度片的全明星阵容,菲律宾女人质量这么高的吗?
- 文学课 | 韩少功:文学与记忆
- 《人性的污秽》中的伦理道德世界
- 宋惠莲背夫和西门庆幽会后自缢,看透情色表象下的死亡真相
- 秋波多少画(五代词全集)