手机访问:wap.265xx.com呼吸治疗师的ABCDEF
呼吸治疗师的ABCDEF
中国人民解放军联勤保障部队第903医院 王博 译
近几十年中,危重患者的临床治疗方法发生了巨大变化,从深度镇静到动员患者进行机械通气并限制镇静。ABCDEF集束化方案是一种多学科、循证的方法,用于危重患者的整体管理,旨在优化患者康复,最大限度地减少医源性影响,并在患者及其家人在住院期间参与其中并获得权力。为了实现这一目标,该方案包括对疼痛、谵妄、准备停止镇静和开始自主呼吸试验的评估。它还鼓励患者早期动员,避免约束,并在床边查房时与家人接触,以改善沟通。该方案的性能降低了死亡率、呼吸机天数、重症监护再入院、谵妄、昏迷、约束使用以及以剂量依赖性的方式出院。呼吸治疗师作为重症护理团队的关键成员,对ABCDEF方案的实施、绩效和成功至关重要。本综述旨在描述ABCDEF方案的每个组成部分,为个体干预和整个方案的影响提供证据,并详细说明这种多学科方法对危重患者护理的重要性。
关键词:
ABCDEF集束化;无痛觉;镇静;重症监护;谵妄;早期活动;家庭参与;呼吸治疗;重症监护室;重症监护室解放运动;机械通气。
经鼻高流量氧疗治疗急性呼吸衰竭的参数设置体外膜式氧合治疗成人重症呼吸衰竭推荐意见严重急性呼吸道感染常规呼吸支持治疗的临床指征与院感防控急性呼吸窘迫综合征患者俯卧位通气治疗规范化流程急性呼吸窘迫综合征ARDS有创机械通气治疗流程中国呼吸危重症患者营养支持治疗专家共识(2020)重症肺炎的呼吸支持治疗严重急性低氧性呼吸衰竭急诊治疗专家共识呼吸衰竭的临床诊断与治疗呼吸泵衰竭监测与治疗中国专家共识中国成人医院获得性肺炎与呼吸机相关性肺炎诊断和治疗指南重温呼吸治疗师浦其斌老师9个精彩视频讲课
引言
在美国,每年有数百万成年人入住重症监护病房,尽管病情日益严重,但存活率却在提高。随着死亡率的下降,重症医学现在面临着另一个日益严峻的挑战,即危重症后的长期认知、身体和精神损伤。鉴于人们越来越认识到这些损伤及其与谵妄等院内并发症的联系,首次发布了重症监护室(ICU PAD)成人患者疼痛、躁动和谵妄管理的临床实践指南。这些指南提供了一个管理疼痛、躁动和谵妄的框架,与最新的证据一致,强调了镇静实践和谵妄对ICU幸存者预后的影响。这些建议在最新的2018年ICU(PADIS)成人患者疼痛、躁动/镇静、谵妄、静止和睡眠中断的预防和管理指南中更新。这些基于证据的概念被纳入ABCDE,现在ABCDEF,作为重症监护医学协会(SCCM)ICU解放运动的一部分(图1)。ABCDEF集束化作为多学科危重症护理的指南,包括呼吸治疗师(RTs)在内的各种专业,作为合作伙伴,改善对最严重患者的护理。ABCDEF集束化的关键组成部分是:(1)评估、预防和管理疼痛;(2) 自发觉醒试验(SAT)和自发呼吸试验(SBT);(3) 镇痛和镇静的选择;(4) 谵妄的评估、预防和管理;(5) 早期活动和锻炼;(6)家庭参与和赋权。ABCDEF集束化已被证明可改善预后(图2)。依从性与生存率增加、谵妄减少、机械通气天数减少和ICU再入院次数减少相关,呈剂量依赖性。本次审查将讨论集束化各部分的证据和实施情况,强调集束化的好处和剩余问题,并强调其成功的多学科性质。
评估、预防和疼痛管理
疼痛是一种常见的、通常是每天都会发生的事件,在所有类型的ICU中都可能被忽视和治疗不足。例如,在执行各种ICU程序之前,只有35%的时间评估疼痛,且大多数ICU程序会导致疼痛显著增加。疼痛也是危重病人谵妄产生的一个重要风险因素。危重护理团队必须积极评估和管理ICU中的疼痛,以预防并发症和减少痛苦。
危重患者由于药物或疾病过程而经常使用镇静剂,并且经常进行机械通气,从而限制了他们可靠报告疼痛的能力。由于这些限制,ICU需要其他评估疼痛的方法。有两种广泛接受和验证的疼痛量表,利用行为和生理测量来评估疼痛:行为疼痛量表和重症监护疼痛观察工具。这两种疼痛量表都利用多种床边指标来评估疼痛,例如面部表情、身体运动以及与呼吸机的同步性。行为疼痛量表得分≥ 5分或重症监护疼痛观察工具得分≥3表示需要治疗的严重疼痛。重症监护疼痛观察工具已被证明在床边使用是可行且简单的,它改进了护理人员对疼痛的常规评估。虽然这些评估通常由护理人员进行,但RT在识别疼痛表现方面至关重要,包括面部表情变化、与呼吸机不同步和躁动。
当护理团队发现严重疼痛时,首选的一线疼痛管理是静脉注射阿片类药物。除了可以减轻疼痛的非药物措施外,还应考虑使用非甾体抗炎药和加巴喷丁等疼痛控制辅助方法,以减少阿片类药物的剂量。此外,应为进行手术或疼痛相关测试的患者提供术前镇痛,以减轻不适。充分管理疼痛可以减少谵妄,并有助于ABCDEF集束化的其他组件的性能,如早期活动和呼吸试验。
SATs和SBTs
协调和规范化的SAT与SBT是从机械通气中解放出来的基础,是ABCDEF集束化的重要组成部分。SAT涉及通过初步安全筛查的患者停止应用镇静剂和麻醉剂。Kress及其同事在一项对128名接受机械通气的受试者进行的单中心随机对照试验中证明,与常规护理相比,每天中断镇静和麻醉剂可显著减少呼吸机使用天数,并改善ICU住院时间。在同一队列中,干预组的受试者在长期随访中与创伤后应激障碍相关的症状少于常规护理组。在二次分析中,SAT组受试者的呼吸机相关性肺炎和ICU护理的其他并发症也较少。同样,危重病期间深度镇静与较高的长期和短期死亡率以及与病情严重程度无关的长时间机械通气相关。常规使用SAT可减少镇静剂和麻醉剂的总剂量,并缩短从机械通气中解脱的时间和减少死亡率。
与SAT的使用类似,常规使用SBT有助于呼吸机的脱机和解除。Esteban等人报告说,使用呼吸试验(2小时T型管试验vs压力支持试验)缩短了机械通气的时间,是停止呼吸机支持的一种可接受的方法。Ely及其同事的后续工作表明,SBT的每日筛查和性能导致,与对照组的6天中位数机械通气相比,机械通气的中位数为4.5天。在多中心、随机、对照的觉醒和呼吸控制(ABC)试验中,与随机接受标准SBT方案的受试者相比,随机接受每日SAT和SBT配对方案的受试验者呼吸机使用天数更少(14.7 d vs 11.6 d;平均差值:3.1 d,95%CI 0.7-5.6),ICU和住院时间更短。这种获益超出了紧急住院治疗:配对SAT/SBT组的受试者在危重病后一年死亡率较低,需要治疗的人数为7.4(危险比0.68,95%CI 0.50–0.92,P=0.1)。
SAT和SBT配对试验的使用涉及到一组协调的步骤,以评估单独进行SAT和SBT的安全性(图3)。如果患者通过SAT的安全筛查,则由床边重症护士通过停用所有静脉用镇静剂和麻醉剂进行SAT。床边护士随后评估SAT失败的迹象,如图3所示。如果患者未能通过SAT,则以原始剂量的一半重新开始镇静和镇痛,并滴定至指定目标。如果患者通过SAT标准,呼吸治疗师将进行SBT安全筛查。与SAT的筛选过程类似,如果患者未达到任何安全标准,则患者仍需接受全面通气支持,并于第二天再次重复这些步骤。如果患者通过安全检查,则尝试SBT。压力支持通气与T形管试验的使用通常取决于机构。Esteban等人表明,T形管组和压力支持通气组的拔管成功率(即SBT后48小时内仍保持拔管状态)没有差异。一旦患者接受SBT,呼吸治疗师就会评估患者是否有SBT失败的迹象。如果患者表现出SBT失败的任何迹象,那么患者将被切换回完全机械通气支持。如果患者没有出现失败迹象,并且能够耐受30–120分钟的SBT,RT会通知医疗团队和床边护士,患者符合拔管指征。SBT的最佳持续时间仍有争议,尽管研究表明30分钟可能足够,与120分钟试验没有区别。一旦通知患者符合拔管标准,危重症医生应考虑拔管。归根结底,SAT和SBT作为ABCDEF集束化的一部分,其协调、多学科的性能致使早期成功移除机械通气,并降低ICU发病率。RT在帮助患者摆脱通气支持方面发挥着重要作用。
镇痛和镇静的选择
ABCDEF集束化中的C指的是镇痛和镇静的选择,符合最新的PADIS指南。重点是目标导向的镇静和镇痛,以减少总体药物负担并实现轻度镇静。这包括对所有ICU患者的疼痛进行常规评估,使用上述经验证的措施,以及对意识水平和镇静深度的常规监测。PADIS指南中推荐的镇静分级包括里士满镇静分级(RASS)(图4)和里克尔镇静分级(SAS)。这些在使用分级点量表描述患者从昏迷(SAS=1或RASS=-5)到极度激动(SAS=7或RASS=+4)的意识水平方面是相似的。例如,RASS在多个ICU设置和学科中表现出了可靠性。危重患者的镇痛和镇静目标应是保持平静和警觉状态,允许患者-临床医生和患者-家人互动,但也应根据ICU的需要促进持续的医疗支持。靶向轻度镇静(即平静和警觉意识水平)显示出拔管时间缩短和气管造口需求减少的趋势,因此,在没有其他临床原因需要深度镇静的情况下,应将其作为标准镇静目标。
在考虑添加镇静药之前,疼痛控制被视为一线治疗,这是一个被称为镇痛镇静的概念(即,在临床上适当限制镇静的情况下,优先使用镇痛的方法)。阿片类药物是控制疼痛的首选一线药物,通常只需镇痛即可达到所需的镇静深度和疼痛控制。如果为了患者的舒适感或临床适应症需要进一步的镇静,指南建议避免使用苯二氮卓类药物,而使用其他药物,如右美托咪定或异丙酚,并尽可能限制整体镇静暴露。更高剂量的镇静剂暴露与更高的死亡率、更长的机械通气时间和谵妄有关。据报道,苯二氮卓类药物的使用是重症监护室谵妄发生的独立危险因素。多项研究表明,与使用右美托咪定相比,使用苯二氮卓类药物与较少的无谵妄天数相关。
虽然PADIS指南建议使用非苯二氮卓类镇静剂,但由于在个体镇静剂的益处和局限性方面存在研究差距,因此对特定的非苯二胺类镇静药的选择,指南只是提供了有限的指导。根据多项研究表明,与苯二氮卓类药物相比,异丙酚可缩短拔管时间,PADIS指南对心脏手术后需要镇静的危重患者使用异丙酚而非苯二氮唑类药物提出了有条件的推荐。在接受机械通气的非心脏手术患者中,平行的MIDEX-PRODEX试验评估了右美托咪定在靶向镇静时间和机械通气中位持续时间方面是否分别优于咪达唑仑和异丙酚。在无抢救用药的情况下,右美托咪定在靶向镇静时间方面并不劣于咪唑安定和异丙酚,与咪唑安定相比,右美托咪定与机械通气持续时间缩短有关,但异丙酚不是。PADIS指南建议在接受机械通气的成人中使用右美托咪定或异丙酚,而不是苯二氮卓类药物,注意到证据质量较低,关于镇静选择的问题仍然没有答案。最终,镇痛和镇静的选择侧重于通过镇痛镇静来实现轻度镇静。
谵妄:评估、预防和管理
谵妄,即ABCDEF集束化中的D,是危重患者急性脑衰竭的一种普遍形式,也是临床研究和管理的一个重要领域。谵妄被定义为意识和注意力在数小时到数天内发生的急性变化,其过程时起时落,不能用先前存在的神经认知障碍来解释。患者可能会发展为低活动性谵妄,表现为意识水平降低伴注意力和意识波动,或过度活动性谵妄,表现为由兴奋程度增加伴注意力和认识波动。患者还可能出现混合性谵妄,包括高活性和低活性两种形式。谵妄与死亡率增加和长期并发症有关,如长期认知障碍,这是一种危重病后获得性痴呆。谵妄的病因是多因素的,某些诱发因素包括使用镇静药物(尤其是苯二氮卓类药物)、低氧血症、脓毒症、未经治疗的疼痛、长时间制动、睡眠剥夺和多种医学合并症。
在ICU中发现谵妄至关重要。已经开发出许多工具来床边筛查和诊断谵妄。两种最常用和最有效的工具是重症监护谵妄筛查检查表(ICDSC)和重症监护室混乱评估方法(CAM-ICU)(图5)。与《精神障碍诊断和统计手册》中规定的标准相比,ICDSC和CAM-ICU在检测谵妄方面都表现出了敏感性。CAM-ICU对谵妄的诊断具有更大的特异性,由四部分组成:(1)急性发作的精神状态变化或波动过程,(2)注意力不集中的迹象,(3)思维紊乱的迹象,以及(4)意识水平的改变(图5)。当患者表现出除成分3或4之外的1和2时,即诊断为谵妄。应在ICU每天使用上述工具之一进行谵妄筛查,最好是一天进行多次。
尽管2018年PADIS指南中不建议对所有成人重症患者常规使用药物,但谵妄的药物预防仍是一个活跃的研究领域。随机、双盲、安慰剂对照的REDUCE试验研究了预防性使用氟哌啶醇是否会提高生存率或降低谵妄发生率,增加无谵妄和无昏迷天数。与安慰剂相比,干预组的存活率没有提高,谵妄结果也没有统计学差异。Su及其同事的研究表明,右美托咪定可以预防老年人非心脏手术后的谵妄,尽管这项研究涉及术后患者群体的疾病严重程度较低,限制了其在大多数危重患者中的推广应用。一项类似的试验评估了夜间低剂量输注右美托咪定是否可以预防谵妄;作者报道,干预组在ICU入院期间没有谵妄的患者比例更高。该研究的局限性包括样本量和无谵妄总天数有限。其他药物,如褪黑素,也引起了人们的兴趣,但关于疗效的数据有限。目前,PADIS指南不建议使用药物预防谵妄,而是建议重点关注改善睡眠卫生、进行早期活动,以及改善ICU环境,帮助防止谵妄的发展。
一旦出现谵妄,对它的管理应集中于识别任何潜在的可改变的诱发因素,如未发现的感染或未治疗的疾病,清除不良药物,通过促进睡眠、减少噪音、早期活动和提供所需的辅助设备,如助听器和眼镜,优化患者环境。呼吸治疗师通常会注意到疼痛和患者-呼吸机不同步的迹象,这可能是谵妄的迹象,也可能是导致谵妄发展的诱因。基础危重疾病的治疗仍然是谵妄解决的根本,因为在谵妄发生后,很少有药物管理选项来针对它。抗精神病药物传统上用于治疗谵妄,但没有确切证据表明这些药物可以预防或缩短谵妄持续时间。最近的MIND-USA试验是一项关于氟哌啶醇和齐拉西酮与安慰剂治疗危重病期间谵妄的多中心、双盲、随机、安慰剂对照试验,报告显示无谵妄或无昏迷的平均存活天数没有差异。ICU出院的平均天数、无机械通气的平均天数或30天和90天死亡率也并没有显著差异。越来越多的证据表明,用抗精神病药物治疗谵妄是无效的,其他潜在的治疗选择需要进一步探索。
早期活动和锻炼
早期活动是ABCDEF集束化中一个重要但往往未充分利用的部分。危重病人由于病情、镇静和血流动力学不稳定,常常卧床休息数天而不能活动。通常,护理团队对ICU患者早期活动和锻炼的安全性十分关注;然而,活动已被证明是安全的,即使是在接受有创支持的患者中,如机械通气、肾脏替代治疗和体外膜肺氧合心肺支持(图6)。长时间的固定会导致肌肉萎缩和虚弱,以及ICU获得性衰弱的发生,导致ICU幸存者在患病后多年的功能状态不佳、残疾和运动能力下降。
RTs在帮助患者早期活动中是不可或缺的,特别是在接受重要呼吸支持的患者中,它可以基于安全和效益的证据提倡早期活动。Schweickert及其同事证明,早期(即<3天的机械通气)物理和职业治疗及活动,再加上每日SAT,可缩短谵妄持续时间,改善出院时的功能状态,风险最小。值得注意的是,早期活动是被证明可以减少谵妄天数的唯一干预措施。在ICU病程早期调动患者也被证明是安全的,并且与减少ICU及住院时间有关。同时,另一项较晚开始物理治疗和活动的研究并未证明远期身体功能有任何改善,这表明在危重病早期活动很重要,尽管Morris及其同事的早期活动类似研究并未证实这一点。综上所述,所有这些研究表明,调动危重患者,包括机械通气患者,可以安全进行,并可以改善远期预后。
早期活动是ABCDEF集束化护理组合的一个组成部分,随着对该组合各个组成部分的依从性的提高,死亡率、谵妄持续时间、ICU及住院时间以及无机械通气天数都有了显著改善。鉴于此,应提倡将早期活动作为危重病人日常护理的一部分。
家庭参与和授权
在ICU中,由于自身疾病和医疗干预,患者通常无法与护理团队和家人沟通。以患者为中心的护理尊重患者个体价值观,并为临床决策提供信息。未能与家人接触并进行充分沟通,意味着错过了确定符合患者价值观并尊重其固有尊严和价值的治疗偏好的机会。在重症监护室环境中,赋予家庭成员参与共同决策和促进公开沟通的权力至关重要。
危重症不仅会给患者,也会给他们的家人带来巨大的心理负担。ABCDEF集束化已经发展到包括家庭参与和授权,这正是因为在这段时间内,家庭的充分参与为患者及其亲人提供了发言权。Heyland及其同事表示,当他们参与到患者所爱的人的护理中时,家庭对医疗护理的满意度更高,临床医生在家庭会议期间提供的支持也提高了对护理和沟通的满意度。查房期间的家人在场也改善了一些家庭对患者护理的沟通和理解的印象。虽然一项评估,针对代表危重症患者的家庭支持干预的研究,没有显示家庭成员的心理痛苦减少,但它确实增加了家庭对优质沟通和以患者-家庭为中心的护理的认知,并缩短了ICU的住院时间。对ICU记事簿的研究表明,患者或其家人记录下他们在ICU的日常想法和记忆,可以减少患者和家人的创伤后应激障碍症状。对于最终罹患无法存活疾病的患者,通过研讨会和姑息治疗或伦理咨询与家人进行重点沟通,有助于将护理目标转变为姑息和安慰措施,并限制了漫长的死亡过程。此外,与那些在心肺复苏期间不在场的患者相比,心肺复苏过程中的家人在场与焦虑和抑郁症状的发生率降低有关。
ICU的家庭参与和授权是多学科的,需要多位临床医生的投入,包括RTs。提供关于每个团队成员角色的信息,回答有关诊断和治疗的问题,让家人参与照顾他们所爱的人,有助于营造一个支持性的环境,并可以减轻急性疾病的压力。危重症的经历不仅限于患者,还包括继续支持患者的家人和亲人。ABCDEF集束化包括家庭参与,有助于在患者、家庭及其医疗团队之间建立信任关系,促进沟通和尊重,并将患者及其价值观置于护理的首位。
ABCDEF集束化:协同护理改善结果
将护理流程组合成一个“包”是医学中经常使用的策略,ABCDEF集束化的每个单独组成在危重患者的多个同行评审研究中都显示出了益处。然而,在重症监护病房,集束化治疗在改善预后方面的记录好坏参半。脓毒症集束化和中心静脉导管集束化已成功降低了通常ICU干预措施的死亡率和并发症。然而,在118个巴西ICU中,包括低潮气量通气、适度镇静、静脉血栓栓塞预防、营养、床头抬高以及使用尿管和中心静脉导管在内的综合质量改善组合并未改变死亡率或改善患者预后。每一种不同的干预措施都被证明是有益的,但当结合成一个更大、更复杂的计划时,结果并没有改变。虽然这一特定组合不能改善结果的原因很复杂,但一个重要的原因是,个体干预不一定是共生的。
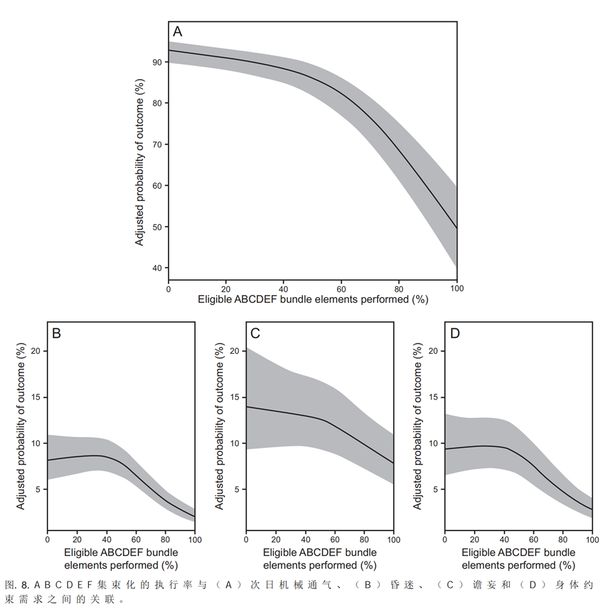
ABCDEF集束化是多方面的,但每个单独的组件都是协同和相关联的。例如,对重症机械通气患者进行疼痛控制和轻度镇静有助于预防谵妄,但也有助于患者早期活动,以及帮助患者与家人更多地互动。这一协同作用的重要性已在两项大型研究中得到证实。在加利福尼亚州7家社区医院的一项大型质量改进研究中,Barnes Daly等人表明,完全和部分遵守ABCDEF集束化与死亡率降低以及无谵妄和无昏迷天数增加相关,与疾病严重程度和年龄无关(图1)。值得注意的是,研究表明,对于部分集束化遵守率每增加10%,院内存活率就增加7%。在一项涉及68个学术、社区和联邦ICU的>15000名受试者的开创性研究中,ABCDEF集束化的表现与多个改善的结果相关,包括7天内的住院死亡、机械通气天数、谵妄和昏迷天数、约束应用、ICU再入院以及出院(图7和图8)。在本研究中,结果以剂量依赖的方式与集束化性能比例相关,集束化性能比例越高,结果越好。这些结果表明,集束化和协调相互依存的护理过程有利于解决危重病的复杂性,并突出了多学科方法的重要性。
RT地位独特,可确保ABCDEF集束化的成功实施。通过SBT的表现对拔管准备情况进行常规评估,向床边护士传达疼痛或呼吸机不同步的证据,实现早期活动,以及教育家属在患者接受呼吸支持时可能发生的情况,这些都是ABCDEF集束化的关键要素。RT还促进医生、护士、物理治疗师和护理团队其他成员之间的沟通。此外,利用多层护理流程可能会对实施造成障碍,因此要了解各个要素,了解ABCDEF集束化在危重患者护理中的影响,ICU独特的文化和组织使RT处于有利地位,以实施最佳实践,并深入了解在自己的机构中构建集束化的必要要求。
结论和未来的发展方向
在过去几十年里,危重病人的护理已从深度镇静、活动受限和极少的家庭参与转变为轻度镇静、早期活动、谵妄的识别和管理以及增强家庭参与。这些变化是对认识到危重病的远期后果和ICU常规医疗干预的影响的回应。ABCDEF集束化是随着时间的推移而开发的,以满足这些需求,它正在改善我们病情最重的患者的护理,但仍有很多工作要做。未来的研究问题很多,包括为患有或不患有谵妄的机械通气患者确定最佳镇静药物,在ICU中使用不同数量的资源优化实施,以及确定在危重疾病期间和之后减少家庭和护理人员痛苦的策略。RT是实施ABCDEF集束化和促进文化变革的重要环节,这将继续对未来几年重症监护医学的成功关键。
上一篇:木心:上海赋
下一篇:张今杰丨人工智能体的道德主体地位问题探讨
最近更新人物资讯
- 青年节专题时文精选,1个专题+5篇模板+12篇范文+1个作文合集(角度+金句+精
- 最新质量管理体系基本要求(五篇)
- 赤坂丽颜值巅峰之作,禁忌之爱代表作品-高校教师成熟
- [王仲黎]人茶共生:布朗族茶文化话语中的生态伦理
- 北京文艺日历 06.12~06.18
- 有什么好看的少女漫画推荐?
- 为了孩子陪睡校长,请别拿这电影洗白
- 当贝市场tv版apk下载
- 茉
- BBC评出有史以来美国最伟大的100部电影
- 泰山岱庙古建筑之文化特色初探
- 阴阳五行学说范文
- 2022伦敦大学学院Bartlett建筑学院Part2毕业展
- 观看平凡英雄观后感1000字
- 纽约大都会博物馆(二)古希腊艺术与神话
- 收藏 | 带你穿越500年,看一看这50位著名艺术家
- ab血型女人的性格
- 春节活动策划方案
- 为什么孕妇生产有危险时,部分丈夫和婆婆会选择保小孩?
- 《员工自发管理的儒家修为智慧》
- 菲律宾尺度片的全明星阵容,菲律宾女人质量这么高的吗?
- 文学课 | 韩少功:文学与记忆
- 《人性的污秽》中的伦理道德世界
- 宋惠莲背夫和西门庆幽会后自缢,看透情色表象下的死亡真相
- 秋波多少画(五代词全集)