手机访问:wap.265xx.com数据挖掘案例: 泰坦尼克号
(一)数据读取:
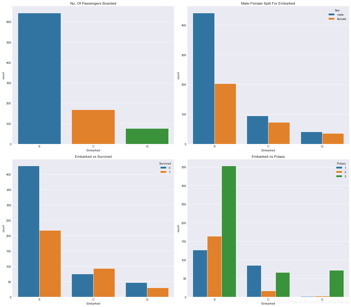
读取数据,并进行展示统计数据各项指标明确数据规模与要完成任务 (二)特征理解分析
单特征分析,逐个变量分析其对结果的影响多变量统计分析,综合考虑多种情况影响统计绘图得出结论 (三)数据清洗与预处理
对缺失值进行填充特征标准化/归一化筛选有价值的特征分析特征之间的相关性 (四)建立模型
特征数据与标签准备数据集切分多种建模算法对比集成策略等方案改进


统计获救情况





船舱等级和性别对结果的影响



Oldest Passenger was of: 80.0 Years
Youngest Passenger was of: 0.42 Years
Average Age on the ship: 29.69911764705882 Years




False






False





Highest Fare was: 512.3292
Lowest Fare was: 0.0
Average Fare was: 32.2042079685746










(623, 9)
(623, 1)
(268, 9)
(268, 1)
Accuracy for logistic regression is 0.7947761194029851
Accuracy for linear SVM is 0.7761194029850746
Accuracy for rbf SVM is 0.8171641791044776
Accuracy for decision tree classifier is 0.7835820895522388
Accuracy for random forest classifier is 0.7873134328358209
Accuracy for KNN classifier is 0.7873134328358209
Accuracies for different values of n are: [0.72761194 0.78731343 0.78358209 0.79477612 0.78731343 0.77985075
0.77238806 0.7761194 0.7761194 0.77238806]
with the max value is 0.7947761194029851

The accuracy of the NaiveBayes is 0.7985074626865671
The accuracy of the gradient boosting is 0.8246268656716418




0.8327721661054994
{‘C’: 0.8, ‘gamma’: 0.1, ‘kernel’: ‘rbf’}
0.8338945005611672

The accuracy for ensembled model is: 0.8171641791044776
The score validated score is 0.8282984337759618
The accuracy for bagged KNN is: 0.7947761194029851
The cross validated score for bagged KNN is: 0.7957496311428895
The accuracy for bagged Decision Tree is: 0.7761194029850746
The cross validated score for bagged Decision Tree is: 0.8070369424582908
0.8327553626149132
0.8327721661054994
AdaBoostClassifier(algorithm=‘SAMME.R’, base_estimator=None,
learning_rate=0.05, n_estimators=200, random_state=42)

0.8160265577119509
0.8282828282828283



上一篇:总去做足疗上瘾是怎么回事?
下一篇:日林斯基
最近更新人物资讯
- 青年节专题时文精选,1个专题+5篇模板+12篇范文+1个作文合集(角度+金句+精
- 最新质量管理体系基本要求(五篇)
- 赤坂丽颜值巅峰之作,禁忌之爱代表作品-高校教师成熟
- [王仲黎]人茶共生:布朗族茶文化话语中的生态伦理
- 北京文艺日历 06.12~06.18
- 有什么好看的少女漫画推荐?
- 为了孩子陪睡校长,请别拿这电影洗白
- 当贝市场tv版apk下载
- 茉
- BBC评出有史以来美国最伟大的100部电影
- 泰山岱庙古建筑之文化特色初探
- 阴阳五行学说范文
- 2022伦敦大学学院Bartlett建筑学院Part2毕业展
- 观看平凡英雄观后感1000字
- 纽约大都会博物馆(二)古希腊艺术与神话
- 收藏 | 带你穿越500年,看一看这50位著名艺术家
- ab血型女人的性格
- 春节活动策划方案
- 为什么孕妇生产有危险时,部分丈夫和婆婆会选择保小孩?
- 《员工自发管理的儒家修为智慧》
- 菲律宾尺度片的全明星阵容,菲律宾女人质量这么高的吗?
- 文学课 | 韩少功:文学与记忆
- 《人性的污秽》中的伦理道德世界
- 宋惠莲背夫和西门庆幽会后自缢,看透情色表象下的死亡真相
- 秋波多少画(五代词全集)