手机访问:wap.265xx.com与机械通气危重病患者的常规治疗相比,右美托咪定对危重患者早期镇静期间应激反应的影
背景
镇静剂会不同程度地影响应激反应。Dexmedetomidine 是一种交感神经阻滞剂α2-肾上腺素能激动剂,主要用作机械通气患者的二线镇静剂。我们假设,与普通镇静剂相比,以右美托咪定作为主要药物的早期镇静会改善重症通气成人应激的反应。
方法
这是一项嵌套在右美托咪定早期镇静与常规治疗的多中心随机对照试验中的前瞻性子研究。主要结果是随机分组后 5 天内测得的应激反应生物标志物血浆水平的平均组间差异。收集其他荷尔蒙、生物和生理参数。计划对确诊或疑似脓毒症患者亚组分析。
结果
103 名患者被纳入最终分析。基线疾病严重程度(APACHE II 评分)、接受异丙酚的患者比例和接受异丙酚的中位剂量在组间具有可比性。更多的常规治疗患者接受咪达唑仑(57.7% 对 33.3%;P?= 0.01)和更高剂量(中位数(95% 四分位数范围)0.46 [0.20–0.93] 对 0.14 [0.08–0.38] mg/kg/天;对?< 0.01)。应激激素、肾上腺素(0.32 [0.26–0.4] 对 0.38 [0.31–0.48])、去甲肾上腺素(4.27 [3.12–5.85] 对 6.2 [4.6–8.5])、促肾上腺皮质激素的几何平均 (95% CI) 血浆水平激素(17.1 [15.1-19.5] vs 18.1 [15.9-20.5])和皮质醇(515 [409-648] vs 618 [491-776])在右美托咪定组和常规治疗组之间分别没有差异。在任何其他测定的生物标志物或生理参数中没有显著差异 敏感性分析显示年龄或脓毒症没有影响。
结论
在机械通气的危重成人患者中使用右美托咪定作为主要镇静剂的早期镇静导致与应激反应相关的生理和血源性参数的变化与常规治疗镇静相当。
介绍
应激反应是一种基本的生物机制,它已经进化到允许人类对内部和外部刺激做出反应。这些包括与日常生活相关的事件,例如锻炼和争论,但也包括病态事件,例如疾病或受伤。它由间脑和脑干的原始大脑结构协调,以响应体感输入,并包含广泛的血液动力学、呼吸、代谢、神经激素、免疫和行为影响。压力会给身体带来非稳态负荷,但在健康状态下,这是适应性的且程度适当。下游生理和行为变化补偿以保持整体稳定性,然后在压力过去后恢复正常。在疾病状态下,尤其是在严重和/或持续时间较长的情况下,身体可能会进入一种适应不良的静力过载状态,这直接导致疾病的病理生理学。高血压、中风、肥胖和代谢综合征等慢性压力相关疾病就是例证,更严重的是 Takotsubo 心肌病在严重危重疾病和休克病例中看到的代谢关闭可能代表终末器官对严重压力的适应性反应,以牺牲短期、更高水平的功能为代价来维持其长期生存,临床上观察为多器官功能障碍/失败。SPICE III 试验的这项子研究检查使用选择性 α-2 肾上腺素能激动剂和交感神经阻滞剂右美托咪定镇静相对于使用异丙酚和/或咪达唑仑的常规治疗对传出肢体不同生理和血液标志物的影响重症患者的应激系统。重症患者安全通常需要使用镇静药物,但镇静剂和镇静深度方面的最佳策略仍不确定。γ-氨基丁酸 (GABA) 受体激动剂,例如异丙酚或咪达唑仑,以及最近的选择性 α-2 肾上腺素受体激动剂右美托咪定,是重症环境中最常用的镇静剂。右美托咪定提供镇静和镇痛作用而不影响呼吸驱动。与其他药物相比,它可缩短通气时间,并减少昏迷和谵妄的发生率和持续时间。作为一种交感神经阻滞剂,右美托咪定对应激反应主要部分产生影响。右美托咪定还可以调节应激反应的其他传出肢体。早期使用右美托咪定会以不同于 GABA 激动剂镇静剂的方式改变器官衰竭的演变和危重疾病的结果。在这项子研究中,在重症评估镇静实践 (SPICE-III) 试验的一部分试验参与者中进行,我们确定与 GABA 激动剂相比,使用右美托咪定进行早期镇静是否会导致应激反应改变。我们还试图确定 GABA 激动剂是否比右美托咪定对正常协调功能和传出血液动力学、呼吸、代谢、神经激素、免疫和大脑中枢应激中心的信号产生更大程度不利影响。
材料和方法
这是 SPICE-III 试验的前瞻性、平行组、纵向、多中心子研究。SPICE-III 试验是一项随机、开放标签试验,其中需要机械通气的危重病人接受早期镇静,右美托咪定作为唯一或主要药物,或接受医生选择的丙泊酚、咪达唑仑和/或其他药物的常规治疗确定镇静策略对以患者为中心的结果的影响。年龄在 18 岁及以上、在随机分组后 12 小时内开始机械通气并且预计需要机械通气和镇静超过一个日历日的患者均被纳入。我们假设与其他镇静药物相比,使用右美托咪定达到的轻度镇静水平(里士满激动-镇静量表 (RASS)会导致 5 天内生理和生化应激标志物的差异。可行性由单中心试点研究确定]。该子研究于 2017 年 1 月至 2018 年 2 月在澳大利亚的四个ICU 进行。排除标准与 SPICE-III 研究相同。该研究已在 ANZCTR.org.au(标识符:ACTRN12616001200471)注册,并获得查尔斯王子医院伦理委员会批准(HREC/16/QPCH/141)。根据当地监管要求,已获得所有患者或其代理人的事先同意或同意继续进行试验。在随机分配到试验后,生理数据、相关药物剂量和血液样本在随机分配时(第 0 天)和随机分配后第 1、3 和 5 天的 0800 时收集。镇静指数计算为阴性 Richmond RASS 测量值的总和除以评估总数。在获得同意的情况下,第 5 天之前死亡的患者被纳入最终分析。
生理测量
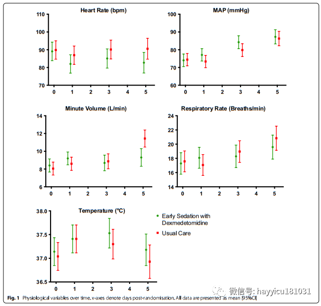
收集生理数据作为代谢、心血管和呼吸压力的表示。研究人员回顾了病历,并收集了床边治疗人员记录的体温、心率、平均动脉压、呼吸频率和每分钟通气量。在对应于血液采样的时间获取单个数据点。
生化测量
对血浆中的激素和标志物进行了检测,这些激素和标志物通常被认为对压力刺激有反应:应激激素(去甲肾上腺素、肾上腺素、醛固酮、ACTH 和总皮质醇),合成代谢和分解代谢激素,包括游离三碘甲状腺原氨酸 (FT3)、甲状腺素 (T4)、促甲状腺激素 (TSH)、生长激素 (GH)、瘦素、胰岛素、睾酮、雌二醇和催乳素。脂质代谢指标(甘油三酯、总胆固醇和高密度脂蛋白胆固醇 (HDL)、β-羟基丁酸)。心脏损伤和功能障碍的标志物(肌钙蛋白 I (TnI)、脑利钠肽 (BNP))。葡萄糖、尿素、肌酐、丙氨酸转移酶 (ALT)、天冬氨酸转移酶 (AST)、碱性磷酸酶 (ALP)、白蛋白、PH、碱过剩 (SBE)、乳酸、白细胞计数 (WCC)、血小板 (Plt) 的实验室结果和凝血酶原时间 (PT) 在对应于抽血时间从医疗记录中收集。从 SPICE-III 数据库获得人口统计数据和以患者为中心结果。
生化方法
双位点顺序化学发光免疫测定法(Immulite? 2000 XPi,西门子,埃尔兰根,德国)。总胆固醇、甘油三酯、高密度脂蛋白、β-羟基丁酸和白蛋白通过分光光度计时终点法 (Beckman Coulter) 测量。
结果
主要研究结果是与传出应激系统不同肢体相关的标志物水平的变化(应激激素、合成代谢和分解代谢激素、脂质代谢、急性期反应物和心脏损伤或功能障碍的标志物、器官功能指数和生理指标)参数)。主要分析是右美托咪定与异丙酚或咪达唑仑常规治疗之间的比较。脓毒症代表危重疾病的离散病理生理亚型,因此对脓毒症亚组中的应激生物标志物进行了二次分析。由于 SPICE-III 试验中 63.7 岁以上患者的事后亚组显示,使用右美托咪定进行早期镇静后死亡率较低,我们在本研究中对镇静策略对应激生物标志物影响对类似亚组进行事后分析。
统计分析
每组至少 50 名患者,该研究具有 > 90% 的功效(双侧P值为 0.01)来检测任何给定生物标志物的差异,相当于一个标准偏差的 80%。这种幅度的差异相当于标记范围内大约 20% 的变化,并且被认为具有临床重要性。评估所有数据的正态性并在适当时进行对数转换。基线比较使用等比例卡方检验进行,学生 t 检验用于正态分布数据,Wilcoxon 秩和检验用于非参数数据,结果报告为n(%)、均值(标准差)或中位数(四分位数间距)。通过重复测量方差分析确定随时间的纵向比较。纵向结果报告为最小二乘平均值 (95%CI) 或几何平均值 (95%CI),其中数据非常接近对数正态分布。为了解释年龄的基线不平衡,对所有标记进行敏感性分析,将患者年龄作为协变量进行调整。使用 SAS 9.4 版(SAS Institute Inc., Cary, NC, USA)进行分析。为了增加调查结果的稳健性,使用 0.01 的双侧P值来表示统计显著性。
结果
2017 年 1 月至 2018 年 2 月期间招募 111 名患者。56 名患者随机接受右美托咪定早期镇静,55 名患者接受标准治疗。右美托咪定组中的 5 名患者和标准组中的 3 名患者撤回继续研究的同意,最终分析中剩下 103 名患者。基线时的患者特征相似。右美托咪定组患者的平均 (SD) 年龄为 61 (15.9) 岁,常规治疗组为 66.6 (10.5) 岁。右美托咪定组和常规治疗组的平均 (SD) APACHE II 评分分别为 20.3 (7.91) 和 21.5 (6.91)。右美托咪定组 33 例患者 (64.7%) 和常规治疗组 33 例患者 (63.5%) 的脓毒症入院诊断相似。
全尺寸表
两组接受显著不同的镇静方案。在干预组中,95% 的患者接受右美托咪定,而对照组为 3.8%(P ?< 0.01)。三分之一的干预组接受了咪达唑仑,而对照组为 57.7% (P?= 0.01)。干预组接受的咪达唑仑中位 [IQR] 剂量为 0.14 [0.08–0.38] mg/kg/天,而对照组为 0.46 [0.20–0.93] mg/kg/天(P ?= 0.01)。在前 48 小时内或机械通气期间,各组之间的镇静水平 (RASS) 没有差异。对所有时间点的所有血液传播压力标志物和心率、平均动脉压、呼吸频率、每分钟通气量和体温等生理变量的结果进行总体比较表明,右美托咪定组和常规治疗组之间没有显著差异。对于任何分析,各组之间在各个时间点和随时间的纵向方差都没有显著差异。?在基线采集血样的右美托咪定组中,对方案的依从性很高,为 98.2% ( n = 54),而?常规治疗组为 97.1% ( n = 48) (P?= 0.27)。到研究期结束时 69.8% (n?= 30) 在右美托咪定组中采集了血样,而?在常规治疗组中采集了 72.8% ( n = 25) (P?= 0.48)(附加文件1:附录表 S6,图 S5)。对 59 名年龄较大的患者(年龄 > 63.7岁)和 63 名诊断为脓毒症的患者进行的事后分析显示,右美托咪定组和常规治疗组之间的任何生理或生化标志物均无显著差异。
联合用药
在基线时,常规治疗组中有 9.8% ( n?= 5) 的患者接受了血管紧张素 2 抑制剂治疗,而?基线时右美托咪定组中有26.9% ( n = 14) 的患者接受了血管紧张素 2 抑制剂治疗 (P?= 0.03)。β 受体阻滞剂、ACE 抑制剂、类固醇或 TPN 的处方率在基线时没有显著差异。在第 3 天,31% ( n ?= 16/51) 的右美托咪定组接受了类固醇,而常规治疗组中这一比例为 14.7% (7/51) (P?= 0.033)。基线、第 3 天或第 5 天的类固醇处方率没有差异。
讨论和结论
在接受右美托咪定或针对轻度镇静的常规治疗治疗的两组中,我们发现应激反应的生理学或血源性生物标志物没有差异。下游器官功能也没有显著差异。虽然我们的研究无法检测到差异,但由于我们研究中的样本量相对较小,镇静药物的选择类型仍然可能导致不同的应激反应,而这些反应未被检测到。然而,即使存在,任何此类差异的临床相关性在主要 SPICE-III 试验中缺乏主要结果差异的情况下也会受到质疑。主要研究表明,在老年患者中,与接受常规治疗的患者相比,右美托咪定组的死亡率较低,而年轻患者则相反。其原因尚不清楚,但可能是由于右美托咪定的使用率因年龄而异。在我们的子研究中,我们无法确定对结果有任何显著影响,几项研究表明右美托咪定具有有益的临床结果。据报道,它的使用可以增加白蛋白水平并减少炎症,以 C 反应蛋白和降钙素原为代表,它们也可作为应激反应的生物标志物。我们的研究由于省略了 CRP 和降钙素原的测试而被削弱,它们包含将允许对压力反应更广泛的检查。太田等人证明在脓毒症机械通气患者中使用右美托咪定治疗可降低 CRP 和降钙素原。这些差异很小,但确实证实了不同镇静剂对压力系统输出的离轴效应的概念。相比之下,我们的研究表明,在代表整个人群或脓毒症亚组的应激反应、炎症反应或急性期反应反应的任何领域,镇静疗法都没有显著差异。我们的研究有几个优势。它利用四个独立的中心参与了一项大型多中心随机对照试验,并在四个不同的时间点从 100 多名患者身上采集了血液样本,参与者因撤回同意而略有损失。该子研究包括大量重症患者,对研究镇静方案的依从性非常好,并且双臂早期达到轻度镇静。与主要的 SPICE-III 研究相比,该亚群存在一些差异。与 SPICE-III 试验中的 14.8% 相比,本研究中诊断为心血管疾病的入院患者比例为 4.9%。本研究中给予的镇静剂比例和剂量与 SPICE-III 研究相似,除了子研究中较高比例的患者在前 48 小时内达到轻度镇静水平(RASS - 2 至 + 1)。正如与 SPICE-III 相当的高 APACHE-II 评分和患者结果所证明的那样,我们人群中的疾病严重程度很高。患者数量少限制了我们的研究。虽然有足够的能力检测每个标记的大约 20% 的变化,但这种幅度的差异可能并不代表具有病理生理学相关性的差异。此外,虽然较小 这种幅度的差异可能不代表具有病理生理学相关性的差异。此外,虽然较小 这种幅度的差异可能不代表具有病理生理学相关性的差异。此外,虽然较小0.01 的P值被用来否定 I 型错误的可能性,最终没有足够的患者来完全解释所提供的比较数量。我们的研究因缺乏胰岛素、肾上腺素、去甲肾上腺素和甲状腺素的给药剂量数据而受到限制。这降低了解释相应测量的激素水平或下游生理变量的能力。有一种可能性很小,即组间药物管理的未测量差异可能会掩盖测量结果的真实差异。我们认为,第 1 天看到的类固醇处方率差异对结果的影响可以忽略不计,特别是因为两组的类固醇处方率都很低,而且这种差异在整个研究期间都没有持续。右美托咪定组中给予的右美托咪定剂量总体上相当于 0.38 mcg/kg/h。虽然很低,但该剂量是从开始到撤机整个输注期间的平均值。当考虑到两组中大量使用咪达唑仑和异丙酚时,镇静管理上的差异可能不足以产生可测量的应激反应差异。镇静策略之间压力标记物缺乏差异可能受到血液测试时间的影响。作为一个务实的决定,每位患者的血液样本尽可能接近插管时间,出于实际考虑,随后的抽血在插管后相应的一天早上进行。这导致插管后的后续抽血时间间隔不标准化。由于每个时间点治疗组之间的时间间隔没有显著差异,这不太可能影响结果;然而,我们的数据限制排除了与因果关系相关的有意义的推断。许多血源性标志物随着时间的推移表现出可预测的变化;镇静剂的选择可能会改变这些模式,但不均匀的时间间隔可能掩盖了这种影响。然而,我们认为任何临床显著差异的可能性都可以忽略不计。总之,与常规治疗镇静相比,使用右美托咪定对通气危重成人进行早期镇静不会导致应激的生理或血源性生物标志物出现差异。由于该数据的范围和局限性,我们无法推断出使用任何一种镇静策略的任何潜在优势。
Moore et al. Critical Care (2022) 26:359 https://doi.org/10.1186/s13054-022-04237-0
上一篇:一天掉多少根头发算脱发?别慌,科学的解释来了
下一篇:南师附中高三语文
最近更新小说资讯
- 特别推荐 收藏共读|朱永新:新教育实验二十年:回顾、总结与展望(上)
- 网红+直播营销模式存在的问题及建议
- 火星探测、卫星搜寻、星球大战,你有怎样的“天问”?
- 希腊男性雕塑 希腊人的美学,那里越小越好
- 枸杞吃多了会怎么样 成年人一天可以吃多少
- “妈妈和哥哥被枪杀后,我变成地球最后一个幸存者”:热搜这一幕看哭了……
- 节约粮食倡议书400字作文
- 祖孙三代迎娶同一个妻子,本以为是笑话,没想到却是真实故事
- 进击的中东,唯有一声叹息
- 唐山性感老板娘不雅视频曝光,少妇贪心,少男痴情!注定两败俱伤
- 【盘点】5G时代下,相关专业有哪些?
- 毁三观的旧案, 双胞胎兄弟交换身份与女友发生关系, 终酿伦理纠纷
- 腾格尔在当今乐坛的地位如何(腾格尔为什么能)
- 小贝日本游,11岁小七身材发育成熟,穿紧身衣有曲线,瘦了一大圈
- 甩三大男神前任,恋上有家室老男人拿下影后,她人生比电影还精彩
- 女英雄为国为民,先后嫁给3人,却落个精神崩溃服毒自尽
- 墨西哥超大尺度神剧,四对超高颜值情侣一言不合竟开启“换妻游戏”?
- 妈妈对小学孩子的成长寄语
- 面向未来的工程伦理教育
- 用大宝贝帮妈妈通下水道好吗
- 第36章:家庭伦理
- 华东师范大学心理学考研看这一篇就够了
- 李玉《红颜》 电影带来的世界44
- 微改造 精提升⑩ | “渔民画云码头”,探索传统非遗产业化发展新路径
- 清朝皇帝列表及简介 清朝历代皇帝列表