手机访问:wap.265xx.com国内1类化药走向上市:从治新冠到抗肺癌
自2015年药政改革以来,尤其是中国加入ICH之后,本土医药创新氛围日渐浓厚,在中国注册申请获批的创新疗法也呈现走高势头。
根据去年6月发布的《2021年度药品审评报告》,2021年MNPA受理创新药注册申请1886件(998个品种),同比增长76.10%。以药品类型统计,创新中药54件(51个品种),同比增长134.78%;创新化学药1166件(508个品种),同比增长55.05%;创新生物制品666件(439个品种),同比增长125%。
应当说,作为发展较漫长,产业链较成熟的药物类型之一,化学药在现阶段仍是创新聚焦的一大赛道。不过,由于疫情和资本泡沫破裂等因素的影响,2022年NMPA受理的化学药注册申请略有波折——新药申请493个品种,同比减少7.5%。
调整期还会持续多久?或许可以从NDA的维度进行观察。2023年1月,国内多款1类化药的上市进展受到关注,此文分别介绍四款已经获批和四款获受理的新药。
01
“4朵新花”已撞线
1、首个口服抗HIV国产创新药
艾诺韦林分子结构式
1月4日,艾诺米替片获得NMPA批准,成为今年国内上市的首款1类新药。该药主要成分为艾诺韦林,在其基础上进行2个核苷类逆转录酶抑制剂(拉米夫定和替诺福韦)的联合,属于首款国产三合一单片复方创新药制剂。
现阶段,临床上大多采用三种或三种以上的药物联合使用(鸡尾酒疗法)来治疗HIV-1感染,每一种药物具有不同的作用机理或针对HIV病毒复制周期中的不同环节, 从而避免单一用药产生的抗药性。与鸡尾酒疗法不同,艾迪药业的复合制剂每天仅需服用1片。
最新数据显示,国际市场抗HIV市场已经达到467.5亿美元,2019年至2023年期间的年均复合增长率为6.0%,市场仅次于抗肿瘤抗癌,在抗感染这个超级赛道占比超过50%。
国际上抗HIV病毒药物共有6大类30多种药物,大多为复方制剂,北美及中西欧市场为抗HIV病毒药物市场的主流市场,占91%的市场份额,包括吉利德、默沙东、艾伯维等巨头企业。
艾迪药业透露,艾诺米替片正开展对762例临床经治HIV受试者的III期临床试验,并已于2022年3月末全部完成入组。
2、本土NSCLC突变治疗新突破
在NSCLC中,ex20ins突变约占EGFR突变的12%,是EGFR第三大突变类型,近20年来临床上针对其的治疗手段仍主要依赖化疗,然而疗效并不尽人意,靶向治疗和免疫治疗等方案的疗效则更加有限。
1月11日,来自武田制药的1类创新药琥珀酸莫博赛替尼胶囊,打破了国内治疗EGFRExon20插入突变NSCLC的窘境,实现了该领域零的突破。
此次获批主要是基于其全球I期、II期以及EXCLAIM延展队列研电影先生究,其结果表明,经治患者的中位无进展生存期(PFS)达7.3个月,中位生存期(OS)长达20.2个月,客观缓解率(ORR)为28%,中位缓解持续时间(DoR)可长达15.8个月。
此外,据PharmaGo数据库显示,国内在研的靶向EGFR Exon20的药物中,除了武田的mobocertinib已获批上市外,迪哲医药DZD9008已于近期申报上市。再鼎医药的CLN-081、君境生物的AP-L1898、福沃药业的FWD1509MsOH均已开展临床研究。
3、先声3CL蛋白酶抑制剂获批
据公开资料显示,辉瑞Paxlovid去年在北京与上海曾被纳入医保,但在最新一轮谈判中由于报价高未被纳入医保,这意味着在2023年3月31日之后,Paxlovid的临时医保报销执行到期。Paxlovid“暂不续约”,国人或可能面临感染COVID-19后将没有3CL蛋白酶抑制剂可用的局面。
但好在,1月29日,NMPA附条件批准了先诺欣上市——为先诺特韦片、利托那韦片组合包装,首发报价为750元(计价单位为盒/疗程),弥补了我国3CL蛋白酶抑制剂这一领域的空白。
该药的临床试验牵头专家、中国科学院樊嘉院士表示,在研究中,先诺欣作为我国自主研发的3CL口服小分子药物,从公开的临床数据看,在轻中症患者症状恢复、病毒载量下降等方面,先诺欣呈现更好的患者获益优势。其中,同样为5天一个疗程,与安慰剂组相比先诺欣可将病毒载量下降超96%,Paxlovid下降86.4%,先诺欣超过P药近10个百分点。
4、君实RdRp抑制剂获批
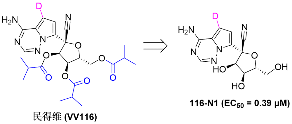
欲与Paxlovid分一杯羹的,还有君实生物的氢溴酸氘瑞米德韦片(VV116)。1月29日,该药获NMPA附条件获批上市。
VV116是一款新型口服核苷类抗病毒药物,与吉利德的瑞德西韦(Remdesivir)化学结构类似,为其氘代衍生物。
在开展的3项I期临床研究中,VV116显示出令人满意的安全性、耐受性和药代动力学性质,口服吸收迅速。随后,一项对比辉瑞新冠口服药Paxlovid的头对头、多中心、单盲、随机、对照III期临床试验正式将VV116拉入中国新冠药品竞技场。去年12月29日,该研究的详细数据成功登刊NEJM发表。
结果显示,该研究主要终点达到设计的非劣效终点,相比Paxlovid,VV116组的患者临床恢复时间更短(4天vs.5天);安全性方面,VV116治疗组的AE发生率,低于Paxlovid组(任何级别的AE:67.4%vs.77.3%,3或4级AE:2.6%vs.5.7%)。
02
“成功”正在进行时
除已获批的药品外,2023年1月,也有不少1类化药上市申请被受理。如若获批,它们将进一步填补、丰富我国治疗市场空白。
1、贝达第三代EGFR-TKI进军肺癌
制药企业肿瘤领域一直都有“得肺癌者得天下”的说法,作为大癌种之中拥有最高突变占比的EGFR,更是在中国人群中高达40-50%。大基数的肺癌人群,使得EGFR-TKI展现出了广阔的市场空间。根据弗若斯特沙利文的数据,中国2020年EGFR-TKI市场规模达108亿元,预计2025年将增长至368亿元,复合增长率达27.7%。
1月20日,贝达药业递交其1类新药甲磺酸贝福替尼胶囊上市申请并获NMPA受理。
在去年举行的 ESMOAsia 大会中(最新临床试验),贝福替尼对比埃克替尼,在治疗继发性EGFR T790M阳性突变患者的II期临床研究结果表明,在中位随访时间分别为20.7个月和19.4个月时,IRC评估的中位PFS分别为22.1个月(17.9-NE)和13.8个月(12.4-15.2),贝福替尼将疾病进展或死亡的风险降低了51%,目前,其结果已发表在JTO中。
两组PFS曲线(来自肿瘤资讯)
除此之外,早在2018年12月,贝达药业就与益方生物达成合作,共同拥有贝福替尼在中国大陆、香港和台湾地区的知识产权,并独家拥有在合作区域研发、制造和商业化贝福替尼的权利。
除该药外,由于第三代EGFR-TKI可同时抑制EGFR敏感突变和T790M,不仅在二线治疗表现优异,而且在一线治疗、辅助治疗也陆续取得突破,吸引来众多企业在此布局,代表性药物为阿斯利康的奥希替尼、豪森药业的阿美替尼、艾力斯的伏美替尼。
2、海思科推出两周一次的降糖药
随着人们生活质量的日益提高,我国糖尿病患病人数以3.0%的复合年增长率持续增长,预计在2025年达到1.5亿,并将于2030年达到1.7亿。
深耕于降糖药的海思科更是不能错失这个市场,旗下1类新药HSK7653片可通过抑制长效二肽基肽酶-4(DPP-4)从而提高GLP-1和GIP的血浆浓度,以葡萄糖浓度依赖方式促进胰岛素的分泌,最终改善血糖控制。特别的是,该药没有当下降糖需每日服药的限制,HSK7653片可将患者服药频率减少为两周一次。
1月29日,海思科提交了HSK7653片申报上市并获得NMPA受理。
NDA是基于HSK7653片已完成的两项III期临床试验,其中一项为评估HSK7653片单药治疗效果及安全性,结果显示,HSK7653片的两个剂量组均达到了临床终点,均能有效降低II型糖尿病患者的糖化血红蛋白,且显著优于安慰剂组,安全性与安慰剂类似。
另一项为评估HSK7653片联合二甲双胍治疗的有效性和安全性研究。结果显示,HSK7653片的两个剂量组也都达到了非劣效假设,两个剂量组均能有效降低患者糖化血红蛋白,且每两周服用一次HSK7653片与每天服用一次阳性对照药的降幅相当,安全性与对照组类似。
3、和泽P29降糖减重双管齐下
对于广阔且竞争激烈的降糖市场,和泽医药布局了差异化的GLP-1(胰高血糖素样肽-1受体)/GIP(胃抑制性多肽受体)双靶点1类创新药P29注射液。
1月29日,和泽医药的P29注射液获NMPA上市受理,适应症主要为成人2型糖尿病患者的血糖控制和减重,临床拟用药频率为1周1次。该药是一种单分子药物,靶向激活人体的GIP和GLP-1受体,可以改善胰岛素的分泌并降低胰高血糖素水平。相比之前的单靶点降糖药,P29注射液可在人体内同时激活更多个信号通路,并且产生更为优异的降糖效果。
从全球范围内来看,P29注射液并不是首款GIP/GLP-1激活剂。去年5月,礼来Tirzepatide就已被FDA批准上市,并且也在日本、欧洲等多个地区进入了最后的上市评审阶段。同年9月,Tirzepatide的上市申请获得NMPA的正式受理。
目前的降糖领域,全球在研的多靶点激动剂大部分集中在GLP-1/GIP、GLP-1/GCG。
国内企业中,除和泽医药,豪森药业也已经申报GLP-1/GIP激动剂,鸿运华宁的GLP-1/GIP激动剂GMA106已经处于I期临床阶段。此外,信达生物与礼来合作的的IBI362分别开展了治疗II型糖尿病和肥胖的II期临床,信立泰、派格医药、图微安创以及恒瑞医药也分别有各自的产品在I期临床推进中。
4、晨泰佐利替尼可透过血脑屏障
1月29日,晨泰医药1类新药佐利替尼申报上市并获NMPA受理,该药属于专为治疗伴中枢神经系统(CNS)转移的晚期EGFR敏感突变非小细胞肺癌患者的新一代EGFR-TKI药物。
值得一提的是,早在2018年1月,晨泰医药就与阿斯利康达成合作协议,前者负责推进佐利替尼的II、III期临床开发。
早期临床数据显示,佐利替尼是全球唯一针对EGFR基因敏感突变、强效的非血脑屏障外排转运蛋白P-gp和BCRP底物的新一代EGFR-TKI,对于EGFR基因19号外显子缺失或L858R的敏感突变,即使有血脑-屏障的保护,仍具有100%的血脑屏障穿透能力,可以产生并维持脑组织和脑脊液中的有效药物暴露。
目前,迄今为止全球唯一一项针对EGFR突变型NSCLC伴CNS转移患者,大规模前瞻性国际多中心临床研究EVEREST结果证实,佐利替尼可有效治疗伴有CNS转移的EGFR敏感突变晚期NSCLC患者,可以减少患者疾病进展或死亡风险,有治疗CNS转移病灶的显著疗效,并呈现EGFR-TKI类药物的安全性特征,后续进展耐药时以T790M突变为主。
参考文献:1.CDE官网;2.各公司官网;3.同写意年度盘点
上一篇:耀眼一点,你有资格
下一篇:电影《除暴》|做到了情理之中,却没做到意料之外!
最近更新生活资讯
- 反转再反转,这部科幻末世灾难片真的爽
- 快捷指令sky电影捷径库
- 2021《自然》年度十大人物:塑造科学,造福社会
- 千里单骑救萝莉却被捕,“正义使者”成了谁的牺牲品?
- 浪漫爱情励志人生 最震撼人心的十部日剧(图)
- 短篇小说(家庭伦理)
- 推动农业绿色低碳循环发展 推动农业绿色发展、协调发展
- 资料:成奎安电影作品《灯草和尚》(1992)
- 稻盛和夫《活法》1
- 合肥市第六中学2019-2020学年下学期2019 级高一年级线上线下教学衔接学
- 全网的电视剧,电影和动漫无偿观看(每年的都有哦)
- 理想国
- 刺激!梅州首部限制级伦理微电影《幻镜》网络首映!
- 男人为何迷恋女人胸部?
- 陆小曼与林徽因:都是富养的女儿,差别在哪里?
- 问题已被解决?
- 看了多少烂片,才找出这92部经典!
- 金高银:怎么从拿8个电影奖的怪物新人沦为了被众嘲的“资源咖”?
- 猎天下第2部:河阴之变
- 封神演义读后感100字(五篇)
- 又一部岛国神作,堪称校园版《权力的游戏》!
- 【全面解读】2022年以后,再无“国产”BCBA?
- 鬼文化(商代的帝王文化))
- 豆瓣9.2分年度第一佳片,每一秒都是夏日初恋的味道
- 社会的重器:性侵犯罪信息统一查询平台,还校园一片蓝天