手机访问:wap.265xx.comJAMA INTERN MED|早期限制饮食对肥胖成年人减肥、减肥和心脏代谢健康
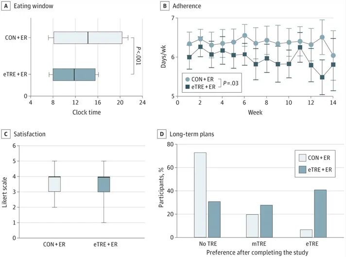
JAMA INTERN MEDEarly Recent, Aug 08, 202210.1001/jamainternmed.2022.3050本文由“天纳”临床学术信息人工智能系统自动翻译Is early time-restricted eating more effective than eating over a period of 12 or more hours for losing weight and body fat?在减肥和减肥方面,早期限制饮食是否比12小时或更长时间的饮食更有效?In a randomized clinical weight-loss trial involving 90 adults with obesity, early time-restricted eating was more effective for losing weight (?6.3 kg) than eating over a window of 12 or more hours (?4.0 kg) but not for losing body fat (?4.7 vs ?3.4 kg). In a secondary analysis of completers, early time-restricted eating was more effective for losing weight and body fat.在一项涉及90名肥胖成年人的随机临床减肥试验中,早期限制饮食对减肥更有效(?6.3kg)比在12小时或更长的时间内进食(?4.0kg),但不用于损失体脂(?4.7 vs?3.4千克)。在对完整者的二次分析中,早期限制饮食对减肥和减肥更有效。Early time-restricted eating was more effective for weight loss than eating over a window of 12 or more hours; larger studies are needed on fat loss.与在12小时或更长时间内进食相比,早期限制进食对减肥更有效;需要对脂肪损失进行更大规模的研究。It is unclear how effective intermittent fasting is for losing weight and body fat, and the effects may depend on the timing of the eating window. This randomized trial compared time-restricted eating (TRE) with eating over a period of 12 or more hours while matching weight-loss counseling across groups.目前尚不清楚间歇性禁食对减肥和减肥的效果,其效果可能取决于进食时间窗。这项随机试验比较了时间限制饮食(TRE)和12小时或更长时间的饮食,同时在各组之间匹配减肥咨询。To determine whether practicing TRE by eating early in the day (eTRE) is more effective for weight loss, fat loss, and cardiometabolic health than eating over a period of 12 or more hours.为了确定通过在一天中早吃(eTRE)练习TRE是否比在12小时或更长时间内进食更有效地减肥、减肥和心脏代谢健康。The study was a 14-week, parallel-arm, randomized clinical trial conducted between August 2018 and April 2020. Participants were adults aged 25 to 75 years with obesity and who received weight-loss treatment through the Weight Loss Medicine Clinic at the University of Alabama at Birmingham Hospital.该研究是一项为期14周的平行对照随机临床试验,于2018年8月至2020年4月进行。参与者为25至75岁的肥胖成年人,通过伯明翰阿拉巴马大学医院的减肥医学诊所接受减肥治疗。All participants received weight-loss treatment (energy restriction [ER]) and were randomized to eTRE plus ER (8-hour eating window from 7:00 to 15:00) or control eating (CON) plus ER (≥12-hour window).所有参与者都接受了减肥治疗(能量限制[ER]),并被随机分为eTRE加ER(7:00至15:00的8小时进食窗口)或对照进食(CON)加ER(≥12小时窗口)。The co–primary outcomes were weight loss and fat loss. Secondary outcomes included blood pressure, heart rate, glucose levels, insulin levels, and plasma lipid levels.共同主要结果是体重减轻和脂肪减少。次要结果包括血压、心率、血糖水平、胰岛素水平和血脂水平。Ninety participants were enrolled (mean [SD] body mass index, 39.6 [6.7]; age, 43 [11] years; 72 [80%] female). The eTRE ER group adhered 6.0 (0.8) days per week. The eTRE ER intervention was more effective for losing weight (?2.3 kg; 95% CI, ?3.7 to ?0.9 kg; P?=?.002) but did not affect body fat (?1.4 kg; 95% CI, ?2.9 to 0.2 kg; P?=?.09) or the ratio of fat loss to weight loss (?4.2%; 95% CI, ?14.9 to 6.5%; P?=?.43). The effects of eTRE ER were equivalent to reducing calorie intake by an additional 214 kcal/d. The eTRE ER intervention also improved diastolic blood pressure (?4 mm Hg; 95% CI, ?8 to 0 mm Hg; P?=?.04) and mood disturbances, including fatigue-inertia, vigor-activity, and depression-dejection. All other cardiometabolic risk factors, food intake, physical activity, and sleep outcomes were similar between groups. In a secondary analysis of 59 completers, eTRE ER was also more effective for losing body fat and trunk fat than CON ER.纳入了90名参与者(平均[SD]体重指数,39.6[6.7];年龄,43[11]岁;72[80%]女性)。eTRE ER组每周坚持6.0(0.8)天。eTRE ER干预对减肥更有效(?2.3公斤;95%CI,?3.7至?0.9公斤;P?=?.002),但不影响体脂(?1.4公斤;95%CI,?2.9至0.2千克;P?=?.09)或脂肪损失与体重损失的比率(?4.2%; 95%CI,?14.9-6.5%;P?=?.43). ETR ER的效果相当于额外减少214 kcal/d的热量摄入。eTRE ER干预也改善了舒张压(?4毫米汞柱;95%CI,?8至0毫米汞柱;P?=?.04)和情绪障碍,包括疲劳惯性、活力活动和抑郁抑郁。组间所有其他心脏代谢危险因素、食物摄入、体力活动和睡眠结果相似。在对59名完成者的二次分析中,eTRE ER比CON ER更有效地减少体脂和躯干脂肪。In this randomized clinical trial, eTRE was more effective for losing weight and improving diastolic blood pressure and mood than eating over a window of 12 or more hours at 14 weeks.在这项随机临床试验中,与14周时在12小时或更长时间内进食相比,eTRE在减肥、改善舒张压和情绪方面更有效。ClinicalTrials.gov Identifier: NCT03459703临床试验。政府标识符:NCT03459703
1. SmyersME, KochLG, BrittonSL, WagnerJG, NovakCM. Enhanced weight and fat loss from long-term intermittent fasting in obesity-prone, low-fitness rats.. Physiol Behav 2021;230:. doi: 2. GotthardtJD, VerpeutJL, YeomansBL. Intermittent fasting promotes fat loss with lean mass retention, increased hypothalamic norepinephrine content, and increased neuropeptide Y gene expression in diet-induced obese male mice.. Endocrinology 2016;157:679-691. doi: 3. HutchisonAT, LiuB, WoodRE. Effects of intermittent versus continuous energy intakes on insulin sensitivity and metabolic risk in women with overweight.. Obesity (Silver Spring) 2019;27:50-58. doi: 4. ByrneNM, SainsburyA, KingNA, HillsAP, WoodRE. Intermittent energy restriction improves weight loss efficiency in obese men: the MATADOR study.. Int J Obes (Lond) 2018;42:129-138. doi: 5. CatenacciVA, PanZ, OstendorfD. A randomized pilot study comparing zero-calorie alternate-day fasting to daily caloric restriction in adults with obesity.. Obesity (Silver Spring) 2016;24:1874-1883. doi: 6. HarvieM, WrightC, PegingtonM. The effect of intermittent energy and carbohydrate restriction v. daily energy restriction on weight loss and metabolic disease risk markers in overweight women.. Br J Nutr 2013;110:1534-1547. doi: 7. KeenanS, CookeMB, BelskiR. The effects of intermittent fasting combined with resistance training on lean body mass: a systematic review of human studies.. Nutrients 2020;12:. doi: 8. KesslerCS, StangeR, SchlenkermannM. A nonrandomized controlled clinical pilot trial on 8 wk of intermittent fasting (24 h/wk).. Nutrition 2018;46:143-152.e2. doi: 9. MoroT, TinsleyG, BiancoA. Effects of eight weeks of time-restricted feeding (16/8) on basal metabolism, maximal strength, body composition, inflammation, and cardiovascular risk factors in resistance-trained males.. J Transl Med 2016;14:290. doi: 10. RazaviR, ParvareshA, AbbasiB. The alternate-day fasting diet is a more effective approach than a calorie restriction diet on weight loss and hs-CRP levels.. Int J Vitam Nutr Res 2021;91:242-250. doi: 11. TinsleyGM, MooreML, GraybealAJ. Time-restricted feeding plus resistance training in active females: a randomized trial.. Am J Clin Nutr 2019;110:628-640. doi: 12. SchübelR, NattenmüllerJ, SookthaiD. Effects of intermittent and continuous calorie restriction on body weight and metabolism over 50 wk: a randomized controlled trial.. Am J Clin Nutr 2018;108:933-945. doi: 13. AntoniR, JohnstonKL, SteeleC, CarterD, RobertsonMD, CapehornMS. Efficacy of an intermittent energy restriction diet in a primary care setting.. Eur J Nutr 2020;59:2805-2812. doi: 14. DavoodiSH, AjamiM, AyatollahiSA, DowlatshahiK, JavedanG, Pazoki-ToroudiHR. Calorie shifting diet versus calorie restriction diet: a comparative clinical trial study.. Int J Prev Med 2014;5:447-456. doi: 15. CaiH, QinY-L, ShiZ-Y. Effects of alternate-day fasting on body weight and dyslipidaemia in patients with non-alcoholic fatty liver disease: a randomised controlled trial.. BMC Gastroenterol 2019;19:219. doi: 16. LinYJ, WangYT, ChanLC, ChuNF. Effect of time-restricted feeding on body composition and cardio-metabolic risk in middle-aged women in Taiwan.. Nutrition 2022;93:. doi: 17. SuttonEF, BeylR, EarlyKS, CefaluWT, RavussinE, PetersonCM. Early time-restricted feeding improves insulin sensitivity, blood pressure, and oxidative stress even without weight loss in men with prediabetes.. Cell Metab 2018;27:1212-1221.e3. doi: 18. HatoriM, VollmersC, ZarrinparA. Time-restricted feeding without reducing caloric intake prevents metabolic diseases in mice fed a high-fat diet.. Cell Metab 2012;15:848-860. doi: 19. ChaixA, ZarrinparA, MiuP, PandaS. Time-restricted feeding is a preventative and therapeutic intervention against diverse nutritional challenges.. Cell Metab 2014;20:991-1005. doi: 20. ShermanH, GenzerY, CohenR, ChapnikN, MadarZ, FroyO. Timed high-fat diet resets circadian metabolism and prevents obesity.. FASEB J 2012;26:3493-3502. doi: 21. GabelK, HoddyKK, HaggertyN. Effects of 8-hour time restricted feeding on body weight and metabolic disease risk factors in obese adults: a pilot study.. Nutr Healthy Aging 2018;4:345-353. doi: 22. AntonSD, LeeSA, DonahooWT. The effects of time restricted feeding on overweight, older adults: a pilot study.. Nutrients 2019;11:. doi: 23. ChowLS, ManoogianENC, AlvearA. Time-restricted eating effects on body composition and metabolic measures in humans who are overweight: a feasibility study.. Obesity (Silver Spring) 2020;28:860-869. doi: 24. GillS, PandaS. A smartphone app reveals erratic diurnal eating patterns in humans that can be modulated for health benefits.. Cell Metab 2015;22:789-798. doi: 25. CienfuegosS, GabelK, KalamF. Effects of 4- and 6-h time-restricted feeding on weight and cardiometabolic health: a randomized controlled trial in adults with obesity.. Cell Metab 2020;32:366-378.e3. doi: 26. KesztyüsD, CermakP, GulichM, KesztyüsT. Adherence to time-restricted feeding and impact on abdominal obesity in primary care patients: results of a pilot study in a pre-post design.. Nutrients 2019;11:2854. doi: 27. WilkinsonMJ, ManoogianENC, ZadourianA. Ten-hour time-restricted eating reduces weight, blood pressure, and atherogenic lipids in patients with metabolic syndrome.. Cell Metab 2020;31:92-104.e5. doi: 28. McAllisterMJ, PiggBL, RenteriaLI, WaldmanHS. Time-restricted feeding improves markers of cardiometabolic health in physically active college-age men: a 4-week randomized pre-post pilot study.. Nutr Res 2020;75:32-43. doi: 29. CheT, YanC, TianD, ZhangX, LiuX, WuZ. Time-restricted feeding improves blood glucose and insulin sensitivity in overweight patients with type 2 diabetes: a randomised controlled trial.. Nutr Metab (Lond) 2021;18:88. doi: 30. AdaferR, MessaadiW, MeddahiM. Food timing, circadian rhythm and chrononutrition: a systematic review of time-restricted eating’s effects on human health.. Nutrients 2020;12:. doi: 31. ChenJH, LuLW, GeQ. Missing puzzle pieces of time-restricted-eating (TRE) as a long-term weight-loss strategy in overweight and obese people? a systematic review and meta-analysis of randomized controlled trials.. Crit Rev Food Sci Nutr 2021;:. doi: 32. MoonS, KangJ, KimSH. Beneficial effects of time-restricted eating on metabolic diseases: a systemic review and meta-analysis.. Nutrients 2020;12:. doi: 33. RavussinE, BeylRA, PoggiogalleE, HsiaDS, PetersonCM. Early time-restricted feeding reduces appetite and increases fat oxidation but does not affect energy expenditure in humans.. Obesity (Silver Spring) 2019;27:1244-1254. doi: 34. MartensCR, RossmanMJ, MazzoMR. Short-term time-restricted feeding is safe and feasible in non-obese healthy midlife and older adults.. Geroscience 2020;42:667-686. doi: 35. HutchisonAT, RegmiP, ManoogianENC. Time-restricted feeding improves glucose tolerance in men at risk for type 2 diabetes: a randomized crossover trial.. Obesity (Silver Spring) 2019;27:724-732. doi: 36. JonesR, PablaP, MallinsonJ. Two weeks of early time-restricted feeding (eTRF) improves skeletal muscle insulin and anabolic sensitivity in healthy men.. Am J Clin Nutr 2020;112:1015-1028. doi: 37. PoggiogalleE, JamshedH, PetersonCM. Circadian regulation of glucose, lipid, and energy metabolism in humans.. Metabolism 2018;84:11-27. doi: 38. MarinacCR, NelsonSH, BreenCI. Prolonged nightly fasting and breast cancer prognosis.. JAMA Oncol 2016;2:1049-1055. doi: 39. REDCap Consortium, HarrisPA, TaylorR, MinorBL. The REDCap consortium: building an international community of software platform partners.. J Biomed Inform 2019;95:. doi: 40. HarrisPA, TaylorR, ThielkeR, PayneJ, GonzalezN, CondeJG. Research electronic data capture (REDCap)—a metadata-driven methodology and workflow process for providing translational research informatics support.. J Biomed Inform 2009;42:377-381. doi: 41. MartinCK, NicklasT, GunturkB, CorreaJB, AllenHR, ChampagneC. Measuring food intake with digital photography.. J Hum Nutr Diet 2014;27:72-81. doi: 42. HallKD, SacksG, ChandramohanD. Quantification of the effect of energy imbalance on bodyweight.. Lancet 2011;378:826-837. doi: 43. LoweDA, WuN, Rohdin-BibbyL. Effects of time-restricted eating on weight loss and other metabolic parameters in women and men with overweight and obesity: the TREAT randomized clinical trial.. JAMA Intern Med 2020;180:1491-1499. doi: 44. KesztyüsD, VorwiegerE, Sch?nsteinerD, GulichM, KesztyüsT. Applicability of time-restricted eating for the prevention of lifestyle-dependent diseases in a working population: results of a pilot study in a pre-post design.. Ger Med Sci 2021;19:Doc04. doi: 45. PrzuljD, LadmoreD, SmithKM, Phillips-WallerA, HajekP. Time restricted eating as a weight loss intervention in adults with obesity.. PLoS One 2021;16:. doi: 46. DomaszewskiP, KoniecznyM, PakoszP, B?czkowiczD, Sadowska-Kr?paE. Effect of a six-week intermittent fasting intervention program on the composition of the human body in women over 60 years of age.. Int J Environ Res Public Health 2020;17:. doi: 47. AntoniR, RobertsonTM, RobertsonMD, JohnstonJD. A pilot feasibility study exploring the effects of a moderate time-restricted feeding intervention on energy intake, adiposity and metabolic physiology in free-living human subjects.. J Nutr Sci 2018;7:. doi: 48. KarrasSN, KoufakisT, AdamidouL. Similar late effects of a 7-week orthodox religious fasting and a time restricted eating pattern on anthropometric and metabolic profiles of overweight adults.. Int J Food Sci Nutr 2021;72:248-258. doi: 49. StrattonMT, TinsleyGM, AlesiMG. Four weeks of time-restricted feeding combined with resistance training does not differentially influence measures of body composition, muscle performance, resting energy expenditure, and blood biomarkers.. Nutrients 2020;12:1126. doi: 50. KotarskyCJ, JohnsonNR, MahoneySJ. Time-restricted eating and concurrent exercise training reduces fat mass and increases lean mass in overweight and obese adults.. Physiol Rep 2021;9:. doi: 51. MoroT, TinsleyG, PacelliFQ, MarcolinG, BiancoA, PaoliA. Twelve months of time-restricted eating and resistance training improves inflammatory markers and cardiometabolic risk factors.. Med Sci Sports Exerc 2021;53:2577-2585. doi: 52. BradyAJ, LangtonHM, MulliganM, EganB. Effects of 8 wk of 16:8 time-restricted eating in male middle- and long-distance runners.. Med Sci Sports Exerc 2021;53:633-642. doi:
全文超过5万字符微信字数限制无法显示全文扫描左侧二维码查看全文?
JAMA INTERN MEDEarly Recent, Aug 08, 202210.1001/jamainternmed.2022.3050
上一篇:【创城进行时】关爱和保护未成年人健康成长公益广告
下一篇:海外生活|研究显示,在美国20岁至49岁的成年人中,有五分之一的人死于过度饮酒
最近更新生活资讯
- 反转再反转,这部科幻末世灾难片真的爽
- 快捷指令sky电影捷径库
- 2021《自然》年度十大人物:塑造科学,造福社会
- 千里单骑救萝莉却被捕,“正义使者”成了谁的牺牲品?
- 浪漫爱情励志人生 最震撼人心的十部日剧(图)
- 短篇小说(家庭伦理)
- 推动农业绿色低碳循环发展 推动农业绿色发展、协调发展
- 资料:成奎安电影作品《灯草和尚》(1992)
- 稻盛和夫《活法》1
- 合肥市第六中学2019-2020学年下学期2019 级高一年级线上线下教学衔接学
- 全网的电视剧,电影和动漫无偿观看(每年的都有哦)
- 理想国
- 刺激!梅州首部限制级伦理微电影《幻镜》网络首映!
- 男人为何迷恋女人胸部?
- 陆小曼与林徽因:都是富养的女儿,差别在哪里?
- 问题已被解决?
- 看了多少烂片,才找出这92部经典!
- 金高银:怎么从拿8个电影奖的怪物新人沦为了被众嘲的“资源咖”?
- 猎天下第2部:河阴之变
- 封神演义读后感100字(五篇)
- 又一部岛国神作,堪称校园版《权力的游戏》!
- 【全面解读】2022年以后,再无“国产”BCBA?
- 鬼文化(商代的帝王文化))
- 豆瓣9.2分年度第一佳片,每一秒都是夏日初恋的味道
- 社会的重器:性侵犯罪信息统一查询平台,还校园一片蓝天