手机访问:wap.265xx.com《柳叶刀》子刊:这5种食物吃不够,心血管死亡率大幅升高
以缺血性心脏病、出血性卒中和缺血性卒中为代表的心血管疾病已成为中国人致死的主要原因之一。2005~2020年间中国心血管疾病死亡人数从310万上升到460万,早期正确且合理的预防心血管疾病措施至关重要。
饮食被认为是影响心血管疾病的重要因素。考虑到近十多年来,中国人饮食结构发生了较大的改变,以及不同省份人群饮食摄入特征也有所不同,以省份为单位评估中国人饮食与心血管疾病的关联很有必要,这将有助于全面了解中国人的健康状况,为预防心血管疾病的干预策略提供洞见。
近日,The Lancet RegionalHealth-Western Pacific发表一项由中国疾病预防控制中心领衔的中国各省份7种饮食特点分析研究,表明不理想的饮食模式仍是心血管疾病的重要危险因素。具体而言,2002~2018年,中国及各省份饮食相关的缺血性心脏病死亡率和缺血性卒中死亡率整体增加,中国男性饮食相关心血管疾病死亡人数和死亡率均高于女性,且饮食相关心血管疾病死亡率随年龄增加而增大。
中国疾病预防控制中心营养与健康研究所Yuehui Fang和首都医科大学公共卫生学院Juan Xia为该文并列第一作者。中国疾病预防控制中心营养与健康研究所何宇纳副主任、中国疾病预防控制中心慢病中心周脉耕副主任为通讯作者。
研究数据来源于中国国家营养调查(CNNS)、中国慢病与危险因素监测(CCDRFS)、高血压调查(CHPS)和中国疾病预防控制中心死因报告系统,预估20岁以上居民饮食摄入量、死亡人数和伤残调整生命年(DALYs)情况,进而了解2002~2018年中国国家和各省份与饮食相关的缺血性心脏病、缺血性卒中、出血型卒中和其他类型卒中的DALYs和死亡率。
5类食物摄入量虽有提升,但仍低于建议摄入量
2002~2018年,中国成年人全谷物、蔬菜、水果、红肉、大豆、坚果和含糖饮料的摄入量整体提升,但除红肉和含糖饮料外,其他食物的摄入量仍低于中国国家居民膳食饮食建议的量,特别是全谷物和水果的摄入量距离建议仍有不小差距。
相比于2002年,2018年中国成年人摄入量增幅由高到低分别为坚果(407.1%)>大豆(238.1%)>红肉(134.3%)>水果(93.7%)>蔬菜(48.6%)>全谷物(35.0%)>含糖饮料(16.1%)。
▲2002年、2010年、2015年和2018年中国成年人选择的食物摄入量(图片来源:参考文献[1])
(从上至下,由左及右分别为全谷物、蔬菜、水果、红肉、大豆、坚果和含糖饮料)
水果、全谷物和蔬菜吃得不够,心血管疾病风险和死亡率均更高
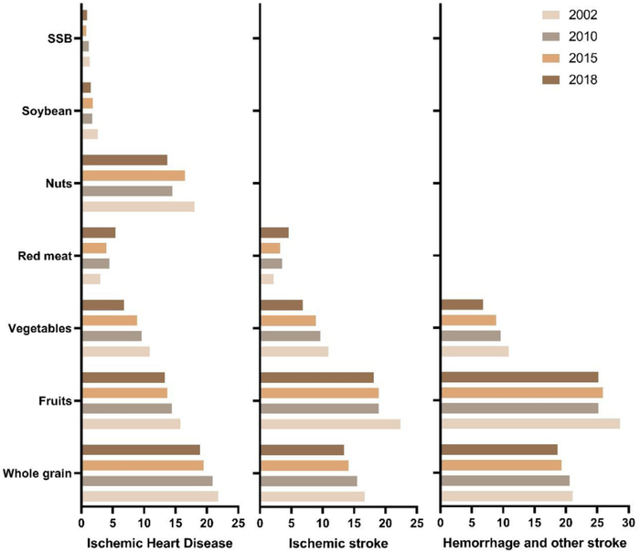
水果、全谷物和蔬菜摄入量不足是导致饮食相关缺血性心脏病、缺血性卒中、出血性卒中和其他类型卒中的主要原因。坚果和大豆摄入量不足,含糖饮料摄入量过高仅与饮食相关缺血性心脏病死亡率相关。
2002~2018年,因全谷物、水果、蔬菜、坚果、大豆和含糖饮料摄入量增加,相关心血管疾病死亡率下降,但红肉摄入量增加除外(2002年由于大量摄入红肉导致饮食相关缺血性心脏病、缺血性卒中死亡的人口比例分别为3%和2.2%,但到了2018年,这些比例分别增加到5.4%和4.6%)。
▲2002年、2010年、2015年和2018年中国成年人饮食相关心血管疾病死亡率比例(图片来源:参考文献[1])
(由左及右分别为缺血性心脏病、缺血性卒中、出血性卒中和其他类型卒中;由上到下分别为含糖饮料、大豆、坚果、红肉、蔬菜、水果和全谷物)
男性和高龄人群,与饮食相关的心血管疾病死亡率更高
2002~2018年,中国成年男性与饮食相关的缺血性心脏病、缺血性卒中、出血性卒中和其他类型卒中死亡人数比例均高于女性。
随着年龄的增长,与饮食相关的缺血性心脏病、缺血性卒中、出血性卒中和其他类型卒中的死亡率大幅增加。20~25岁中国人与饮食相关的缺血性心脏病死亡率为3.4/100 000、与饮食相关的缺血性卒中死亡率为0.2/100 000、与饮食相关的出血性卒中和其他类型卒中死亡率为1.5/100 000,到了80岁时,这些比例分别增加到3428.7/100 000、1138.3/100 000和702.8/100 000。
▲2018年中国成年人与饮食相关的心血管疾病死亡率随年龄增加而增大(图片来源:参考文献[1])
(紫色为缺血性心脏病、红色为缺血性卒中、绿色为出血性卒中和其他类型卒中)
文章表示,事实上2002~2018年,心血管疾病死亡的原因中,全谷物、水果、蔬菜摄入量不足,含糖饮料摄入过多等影响程度均所有下降,但中国大多数缺血性心脏病和缺血性卒中绝对死亡人数和死亡率仍大幅增加,可能与中国成年人年龄结构变化有关。截止到2019年,中国已有1.645亿年龄在65岁以上的老年人,2600万年龄在80岁以上老年人,而因饮食导致的心血管疾病死亡人数随年龄增大而增加,特别是80岁以上的老年人。
中国各省份饮食相关的心血管疾病死亡率整体呈上升趋势,主要原因是全谷物和水果摄入量不足
饮食相关的缺血性心脏病死亡率:中国大多数省份死亡率均有所上升,但贵州、陕西、云南、广西和重庆除外。上海死亡率增幅最大,贵州死亡率增幅最小。
饮食相关的缺血性卒中:中国所有省份死亡率均上升,其中青海死亡率增幅最大,江苏死亡率增幅最小。
饮食相关的出血性卒中和其他类型卒中:中国大多数省份死亡率均有所下降,但宁夏、云南、海南、湖南、西藏、四川、青海、广西和广东除外。宁夏死亡率降幅最小,贵州死亡率降幅最小。
具体的饮食影响方面,全国大多数省份相关死亡率危险因素都是全谷物、坚果和水果摄入量不足,但在不同地区最凸显的疾病影响略有不同:
黑龙江、辽宁、山东、北京、河南、辽宁、吉林和河南成年人缺血性心脏病相关死亡、DALYs和DALYs率相关的饮食风险为:全谷物、坚果和水果摄入量不足。
安徽、吉林和黑龙江缺血性卒中相关死亡和DALYs相关的饮食风险为:全谷物和水果摄入量不足。
西藏出血性卒中和其他类型卒中相关死亡和DALYs相关的饮食风险为:全谷物和水果摄入量不足。
文章表示,饮食相关的心血管死亡率危险因素为全谷物、坚果、水果和蔬菜摄入量不足,这一发现支持了美国心脏协会在2021年发布的改善心血管健康饮食指南科学声明的建议。全谷物、坚果、水果和蔬菜中含有生物活性化合物,如膳食纤维、矿物质、抗氧化剂、维生素等,可能通过改变内皮功能、氧化应激等机制的方式,来影响心血管健康。
小结
总之,这项研究阐释了2002~2018年中国及各省份饮食相关的心血管疾病整体趋势。饮食相关的缺血性心脏病、缺血性卒中关死亡率随时间的推移而增加。各地区心血管疾病负担存在差异。其中饮食相关的缺血性心脏病、缺血性卒中、出血性卒中和其他类型卒中死亡率最高省份分别为山东、黑龙江和西藏,最低分别为西藏、青海和北京。
研究结果表明坚持健康饮食在降低心血管疾病风险方面的重要性,在预防心血管疾病和制定治疗计划时,应该考虑纳入健康饮食习惯,并根据不同省份饮食特点和每种心血管疾病负担情况酌情调整。
参考资料
[1]Yuehui Fang, Juan Xia, Yiyao Lian, et al. The burden of cardiovascular disease attributable to dietary risk factors in the provinces of China, 2002–2018: a nationwide population-based study. The Lancet RegionalHealth -Western Pacific 2023: 100784 https://doi.org/10.1016/j.lanwpc.2023. 100784
免责声明:药明康德内容团队专注介绍全球生物医药健康研究进展。本文仅作信息交流之目的,文中观点不代表药明康德立场,亦不代表药明康德支持或反对文中观点。本文也不是治疗方案推荐。如需获得治疗方案指导,请前往正规医院就诊。
最近更新生活资讯
- 反转再反转,这部科幻末世灾难片真的爽
- 快捷指令sky电影捷径库
- 2021《自然》年度十大人物:塑造科学,造福社会
- 千里单骑救萝莉却被捕,“正义使者”成了谁的牺牲品?
- 浪漫爱情励志人生 最震撼人心的十部日剧(图)
- 短篇小说(家庭伦理)
- 推动农业绿色低碳循环发展 推动农业绿色发展、协调发展
- 资料:成奎安电影作品《灯草和尚》(1992)
- 稻盛和夫《活法》1
- 合肥市第六中学2019-2020学年下学期2019 级高一年级线上线下教学衔接学
- 全网的电视剧,电影和动漫无偿观看(每年的都有哦)
- 理想国
- 刺激!梅州首部限制级伦理微电影《幻镜》网络首映!
- 男人为何迷恋女人胸部?
- 陆小曼与林徽因:都是富养的女儿,差别在哪里?
- 问题已被解决?
- 看了多少烂片,才找出这92部经典!
- 金高银:怎么从拿8个电影奖的怪物新人沦为了被众嘲的“资源咖”?
- 猎天下第2部:河阴之变
- 封神演义读后感100字(五篇)
- 又一部岛国神作,堪称校园版《权力的游戏》!
- 【全面解读】2022年以后,再无“国产”BCBA?
- 鬼文化(商代的帝王文化))
- 豆瓣9.2分年度第一佳片,每一秒都是夏日初恋的味道
- 社会的重器:性侵犯罪信息统一查询平台,还校园一片蓝天