手机访问:wap.265xx.com关于辅酶Q10,你至少需要知道这5点!
作者:gcplive ??来源:药评中心
据说,有人开始抢购辅酶Q10。
辅酶Q10同时拥有药品与保健品的“双重身份”。辅酶Q10对人体究竟有哪些好处?又有哪些人群适合吃呢?
一、何谓辅酶Q10?
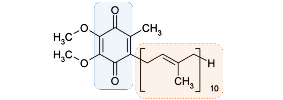
辅酶Q10是一种脂溶性的醌(Quinone)类化合物,可由酪氨酸在人体内内源性合成,亦可由食物摄入。
因为含有10个异戊二烯单位组成的侧链,被称为辅酶Q10。
二、辅酶Q10是细胞呼吸激活剂?
什么是细胞呼吸?
细胞呼吸是指糖、脂肪、蛋白质等物质,在体内经过一系列的氧化分解时,逐步释放出能量并生成ATP,最终生成CO2和H2O的过程。
该过程,需要耗氧、排出二氧化碳,又在细胞内进行,故又称为细胞呼吸。
辅酶Q是线粒体合成ATP的必要成分,是细胞呼吸和细胞代谢的激活剂。
含辅酶Q10的食物有哪些?
辅酶Q10不是维生素,人体可自身合成。
沙丁鱼、秋刀鱼、动物内脏、牛肉、花生、胡桃、腰果等食物中含量相对丰富。
普通膳食者每天辅酶Q10的摄入量约为2-5mg。
对于大部分普通人群来说,自身合成的辅酶Q10的量足够大,不会有缺乏的问题,因此,不建议健康人群使用药物性辅酶Q10进行补充。
三、保健品有哪些功能?
2003年,我国批准了第一个辅酶Q10类保健食品。
2021年3月1日实行的《保健食品原料目录辅酶Q10》中,辅酶Q10被批准的保健功能只有二种:抗氧化和增强免疫力。
推荐的用法用量:30~50毫克/日。
适用于成人,不适宜少年儿童、孕妇、乳母和过敏体质人群食用。
四、哪些患者可以服用?
无论是口服还是注射,辅酶Q10都只起辅助治疗作用!
1.药品说明书适应症
温馨提示:
口服剂未纳入医保。
注射剂已纳入医保目录,但仅限急救、抢救使用。注射剂可发生过敏性休克,需在有抢救条件的医疗机构使用。
辅酶Q10见光易分解,静脉滴注时,应采取避光措施。
2.临床诊疗指南(专家共识)推荐意见
五、可否用于他汀类药物所致肌病患者?
他汀有肌毒性,可能与引起肌细胞线粒体内的辅酶 Q10 缺乏有关。
有研究证实,补充辅酶 Q10 治疗后,可改善肌病的症状,但确切疗效仍待验证。
2021年版《改善心肌代谢药物临床应用中国专家共识》:
他汀类药物所致肌病患者,辅酶Q10剂量200~400mg/d开始,在启动辅酶Q10前几周内暂停他汀类药物,使肌肉症状缓解,然后再重新启动他汀类药物。
若肌肉症状复发但较前减轻,可继续联合治疗;若无效应,停用他汀类药物和辅酶Q10,考虑其他降胆固醇治疗。
最近更新生活资讯
- 反转再反转,这部科幻末世灾难片真的爽
- 快捷指令sky电影捷径库
- 2021《自然》年度十大人物:塑造科学,造福社会
- 千里单骑救萝莉却被捕,“正义使者”成了谁的牺牲品?
- 浪漫爱情励志人生 最震撼人心的十部日剧(图)
- 短篇小说(家庭伦理)
- 推动农业绿色低碳循环发展 推动农业绿色发展、协调发展
- 资料:成奎安电影作品《灯草和尚》(1992)
- 稻盛和夫《活法》1
- 合肥市第六中学2019-2020学年下学期2019 级高一年级线上线下教学衔接学
- 全网的电视剧,电影和动漫无偿观看(每年的都有哦)
- 理想国
- 刺激!梅州首部限制级伦理微电影《幻镜》网络首映!
- 男人为何迷恋女人胸部?
- 陆小曼与林徽因:都是富养的女儿,差别在哪里?
- 问题已被解决?
- 看了多少烂片,才找出这92部经典!
- 金高银:怎么从拿8个电影奖的怪物新人沦为了被众嘲的“资源咖”?
- 猎天下第2部:河阴之变
- 封神演义读后感100字(五篇)
- 又一部岛国神作,堪称校园版《权力的游戏》!
- 【全面解读】2022年以后,再无“国产”BCBA?
- 鬼文化(商代的帝王文化))
- 豆瓣9.2分年度第一佳片,每一秒都是夏日初恋的味道
- 社会的重器:性侵犯罪信息统一查询平台,还校园一片蓝天